Study of urogenital tract and gut microbiota in women with stage III and IV ovarian endometriosis
- Authors: Kalinkina O.B.1, Tezikov Y.V.1, Lipatov I.S.1, Aravina O.R.1, Morozova O.N.2
-
Affiliations:
- Samara State Medical University
- Samara, City Hospital № 6
- Issue: Vol 37, No 1 (2020)
- Pages: 14-21
- Section: Original studies
- Submitted: 03.05.2020
- Accepted: 03.05.2020
- Published: 03.05.2020
- URL: https://permmedjournal.ru/PMJ/article/view/33981
- DOI: https://doi.org/10.17816/pmj37114-21
- ID: 33981
Cite item
Full Text
Abstract
Aim. To confirm that dysbiosis of the urinary tract or gut may be associated with endometriosis course.
Materials and methods. We analyzed the samples of vaginal, cervical and intestinal epithelial cell scrapes in 32 patients with a confirmed intraoperative diagnosis of stage III and IV endometriosis and 25 healthy patients as a control group. A wide range of pathogenic and opportunistic microorganisms was evaluated using polymerase-chain reaction (PCR) method to determine real-time results. We found fundamental differences between the samples of microflora in the investigated group and the control group. The lack of opportunistic gram-positive Atopobium vaginae in the vaginal and cervical secretions of women with stage III–IV endometriosis was statistically significant (p < 0.05). In the samples of cervical canal of epithelial scrapes of patients with stage III–IV endometriosis, there were detected clinically significant amounts (more than 104 million copies of DNA/ml) of opportunistic and pathogenic microorganisms Gardnerella vaginalis, Porphimonas spp. Opportunistic strains Gardnerella vaginalis, Prevotella bivia, Escherichia colli, Streptococcus spp. dominated in the rectal scrapes of the patients of the investigated group. On the basis of the obtained data of microbiota studying, individual correction of the detected dysbiosis was carried out.
Results. The obtained data demonstrated an altered microflora of the urogenital tract and gut in patients with stage III and IV endometriosis. After therapy, the groups ceased to differ in the frequency of detection of normocenosis, moderate dysbiosis and severe dysbiosis that testifies to the normalization of urogenital tract and intestinal microflora in patients with moderate and severe courses of ovarian endometriosis. Further research is needed to examine whether dysbiosis is a consequence of the development of moderate and severe endometriosis or dysbiosis is a concomitant background pathology that contributes to the formation of endometriosis of this degree of severity.
Keywords
Full Text
Введение
Микробиота желудочно-кишечного тракта представляет собой целое биологическое сообщество, которое можно рассматривать как самостоятельный экстракорпоральный орган человека (микробиом), участвующий в метаболических, иммунологических, защитных, пищеварительных процессах человека и влияющий на состояние других органов и систем, а также в целом на здоровье человека. Многочисленные экспериментальные и клинические данные свидетельствуют о вовлеченности дисбиотических нарушений кишечной микрофлоры в патогенез целого ряда заболеваний на разных стадиях [1, 2]. К ним относятся: заболевания органов пищеварения (синдром раздраженной кишки, хронический гастрит, язвенная болезнь, хронические невирусные гепатиты, желчнокаменная болезнь, хронический панкреатит, хронические воспалительные заболевания кишечника), сердечно-сосудистые заболевания (ишемическая болезнь сердца, атеросклероз, гипертоническая болезнь, миокардиодистрофии), болезни обмена (ожирение, авитаминозы, дислипопротеидемии, мочекаменная болезнь), онкологические заболевания различной локализации, кожные и аллергические заболевания, инфекционные заболевания, гинекологические заболевания (эндометриоз, дисменореи, вагиниты), многие другие клинические синдромы и патологические состояния [4].
В настоящее время остается недостаточно изученной взаимосвязь микрофлоры толстой кишки, играющей немаловажную роль в системной регуляции уровня эстрогенов, с микрофлорой влагалища и цервикального канала, а также с течением эндометриоза [5]. При выраженном дисбактериозе кишечника, как правило, из влагалища высевается одна из кишечных инфекций – кишечная палочка, энтерококки и др. Восстановление нормальной микрофлоры влагалища в такой ситуации возможно лишь при одновременном лечении заболеваний кишечника и устранении запоров, которые также провоцируют дисбиоз влагалища [6]. Это обусловлено тем, что стенка прямой кишки плотно соприкасается со стенкой влагалища, а при запорах возникает застой в сосудах малого таза, что отрицательно влияет на силы местного иммунитета во влагалище.
Одной из важнейших функций кишечной микробиоты является участие в активации защитных местных и общих иммунных реакций, а также создание иммунологической толерантности макроорганизма. Слизистая оболочка желудочно-кишечного тракта относится к одному из независимых компонентов иммунной системы и обладает собственной лимфоидной тканью, известной как ассоциированная с желудочно-кишечным трактом лимфоидная ткань, которая в свою очередь является одним из самых значимых компонентов иммунной системы макроорганизма. Известно, что чрезмерная активация иммунной воспалительной реакции в брюшной полости – признанный механизм патогенеза развития эндометриоза [6].
Цель исследования – проведение сравнительного анализа микрофлоры кишечника, секрета влагалища и цервикального канала у пациенток, оперированных по поводу III–IV стадии эндометриоза яичников, и здоровых женщин.
Материалы и методы исследования
В соответствии с целью исследования проведен анализ образцов соскобов эпителиальных клеток влагалища, цервикального канала и кишечника у 32 пациенток с подтвержденным интраоперационно эндометриозом III–IV стадии и 25 здоровых пациенток, составивших группу контроля. Оценка широкого спектра патогенных и условно-патогенных микроорганизмов проводилась в сравнении с общей бактериальной массой методом ПЦР с определением результатов в режиме реального времени, выполненной по стандартной методике. Критериями исключения из исследования послужил возраст женщин моложе 18 и старше 45 лет, беременность, прием антибиотиков в цикле, предшествующем взятию мазков, явные симптомы хронического или инфекционного заболевания толстого кишечника, наличие любого подтвержденного онкологического заболевания, выявленные ранее или в ходе исследования инфекции, передающиеся половым путем.
Забор образцов проводился по стандартной методике одноразовым стерильным тампоном в контейнер типа эппендорф с транспортной средой раздельно для каждой локализации. У пациенток исследуемой группы забор осуществлялся накануне оперативного вмешательства, у пациенток контрольной группы – во время обращения на прием. При выявлении определенного вида указывался род и вид микроорганизма на латинском языке, при обнаружении групповой принадлежности без спецификации по видам указывался род и латинское наименование species (spp.).
Нормоценоз выставлялся при доле лактобактерий в цервикальной и влагалищной локализациях не менее 80 % от общей бактериальной массы при доле менее 1 % для факультативных и облигатно-анаэробных микроорганизмов и количества грибов ниже порога чувствительности метода (менее 103 геном-эквивалентов/образец). Умеренный дисбиоз определялся при снижении доли лактобактерий в цервикальной и влагалищной локализациях не менее 20–80 % от общей бактериальной массы при доле от 1 до 10 % факультативных и облигатно-анаэробных микроорганизмов и количества грибов в диапазоне 103–104 геном-эквивалентов/образец. При более выраженном снижении лактобактерий в образцах и превышении указанных для умеренного дисбиоза значений выставлялся диагноз выраженного дисбиоза.
Для кишечной локализации нормоценоз выставлялся при доле бифидо- и лактобактерий от 7–10 lgКОЕ/1 г, содержания Еsherichia colli в диапазоне 7–8 lgКОЕ/1 г, и бактерий рода клостридии не более 5 lgКОЕ/1 г, для остальной условно-патогенной флоры – при значениях не более 4 lgКОЕ/1 г, при отсутствии в образцах патогенных бактерий, золотистого стафилококка, грибов рода Candida spp. не более 4 lgКОЕ/1 г [3].
При выявленном умеренном и выраженном дисбиозе любой локализации проводилось лечение в соответствии с действующими клиническими рекомендациями и осуществлялся повторный анализ микрофлоры через месяц после проведенного лечения.
Статистическая обработка материала осуществлялась при помощи программы Statistica 10.0. Перед началом анализа данных исследовали закон распределения изучаемых количественных признаков. Закон распределения большинства изученных показателей соответствовал нормальному. Описательные статистики микробиоты представлены двумя способами: приведено число женщин, у кого выявлен данный вид микроорганизмов (абсолютное количество и процентное соотношение), а затем рассчитано среднее геометрическое содержание каждого вида только среди тех обследованных, у кого они выявлены. При сравнении групп в случае невыявления микроорганизма в расчете использовалось значение его содержания –9, соответствующее очень низкому, практически бесконечно малому содержанию микроба: 10–9 = 0,0000000001. Статистическое сравнение признаков при нормальном распределении проводилось с помощью критерия Стьюдента. Сравнения групп выполнялись с помощью критерия Манна – Уитни – Вилкоксона. Для сравнения частот применяли критерий ÷2 Пирсона. Статистически значимым считался уровень р < 0,05.
Результаты и их обсуждение
Пациентки исследуемой группы и группы контроля не различались по возрасту (29,87 ± 0,54 и 28,57 ± 1,01 г. соответственно, р = 0,227), индексу массы тела (24,06 ± 0,54 и 12,0 ± 0,96 кг/м2, р = 0,892). Ни одна пациентка не принимала комбинированные оральные контрацептивы, воздержание от половых контактов до забора исследуемых образцов составило не менее трех дней.
При оценке цервикальной микрофлоры у пациенток с интактными яичниками и в исследуемой группе с эндометриозом яичников III–IV степени нами выявлены следующие микроорганизмы (таблица). У женщин с эндометриозом яичников выявлено отсутствие условно-патогенной флоры Megasphaera spp., Candida spp. (p = 0,046 и р = 0,020) и статистически значимое снижение Atopobium vaginae: обнаружен у 11 (46 %) пациенток с интактными яичниками и у 5 (16 %) в группе с эндометриозом яичников (р = 0,012) (рис. 1).
При оценке влагалищной микрофлоры в исследуемых группах найдены следующие
Микробный пейзаж цервикальной порции у пациенток с интактными яичниками и эндометриозом яичников
Примечание: * – Мгеом – среднее геометрическое.
Рис. 1. Среднее геометрическое количество Аtopobiumvaginae в цервикальной локализации у пациенток с интактными яичниками и эндометриозом яичников
принципиальные различия. Количество микроорганизмов – возбудителей бактериального вагиноза – статистически значимо выше в группе пациенток с эндометриозом яичников: Gardnerella vaginalis обнаружен у 5 (20 %) женщин с интактными яичниками и у 16 (50 %) в группе с эндометриозом яичников, р = 0,005; Porphyromonas spp. – у 3 (12 %) и у 19 (59 %) соответственно, р = 0,005 (рис. 2, а, б). Также статистически значимым оказалось снижение Аtopobium vaginae во влагалищных образцах – у 4 (13 %) пациенток исследуемой группы, по сравнению с таковым в группе с интактными яичниками – у 11 (44 %), p = 0,003 (рис. 2, в).
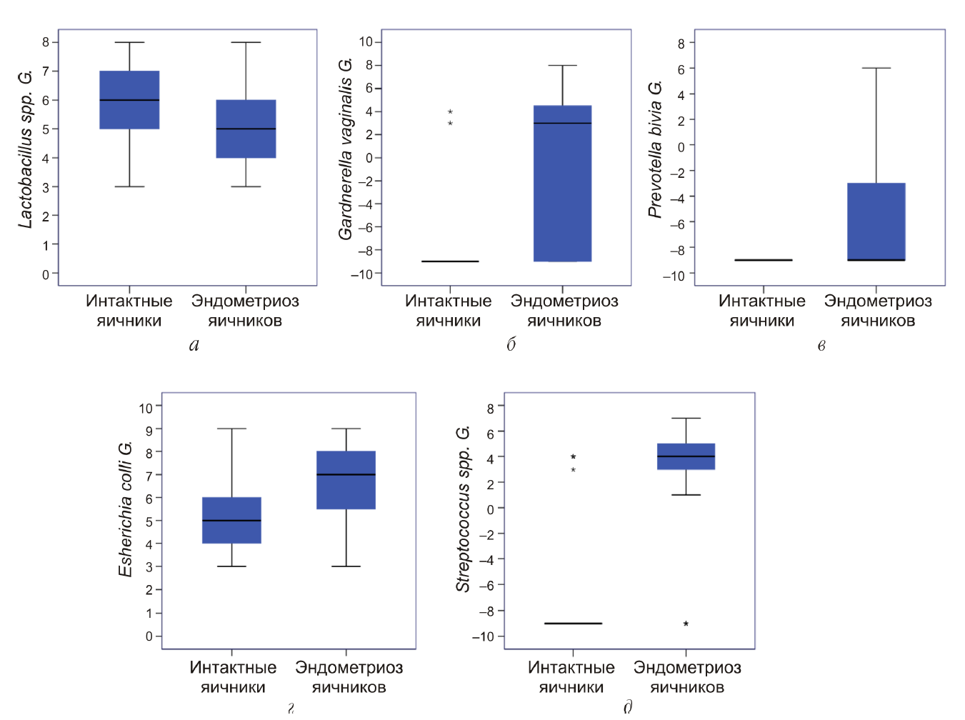
Наибольшие статистические различия в группах найдены при оценке кишечной микрофлоры у пациенток с интактными яичниками и с эндометриозом яичников III–IV степени. Отмечено статистически значимое снижение лактобактерий, преобладание Gardnerella vaginalis, Prevotella bivia, Esherichia colli, Streptococcus spp. у пациенток с эндометриозом яичников по сравнению c данными женщин с интактными яичникам (рис. 3).
Рис. 2. Среднее геометрическое количество во влагалищной локализации у пациенток с интактными яичниками и эндометриозом яичников: а – Gardnerella vaginalis; б – Porphyromonas spp.; в – Аtopobium vaginae
Рис. 3. Среднее геометрическое количество в кишечнике у пациенток с интактными яичниками и эндометриозом яичников: а – Lactobacillus spp.; б – Gardnerella vaginalis; в – Prevotella bivia; г – Esherichia colli; д – Streptococcus spp.
Рис. 4. Сравнение микрофлоры влагалища и кишечника до и после лечения в исследуемой группе и группе контроля (%)
Контрольный анализ после проведенного лечения бактериального вагиноза и коррекции дисбиоза кишечника в обеих группах показал нормализацию биоценоза влагалища и кишечника (рис. 4). После проведенного лечения пациентки не различались по частоте выявления нормоценоза, умеренно выраженного дисбиоза и выраженного дисбиоза (для влагалищной локализации ÷2 = 0,165, для кишечника ÷2 = 0,119).
Между образцами микрофлоры исследуемой группы и контрольной найдены принципиальные различия. Статистически значимым было снижение во влагалищном и цервикальном секретах условно-патогенных грамположительных Atopobium vaginae у женщин с III–IV стадиями эндометриоза. В образцах эпителиальных соскобов влагалища у пациенток с эндометриозом III–IV стадии обнаружены клинически значимые количества (более 104 млн копий ДНК/мл) условно-патогенных и патогенных микроорганизмов Gardnerella vaginalis, Porphimonas spp. В кишечном пейзаже у пациенток с эндометриозом яичников III–IV стадии обнаружено преобладание Gardnerella vaginalis, Prevotella bivia, Escherichia colli, Streptococcus spp.
Выводы
В результате проведенного исследования диагностированы нарушения биоценоза влагалища и дисбиотические изменения кишечника у пациенток с III–IV стадиями эндометриоза. Причем выявлено сходство данных патологических процессов. В образцах эпителиальных соскобов влагалища у этих больных обнаружены клинически значимые количества (более 104 млн копий ДНК/мл) условно-патогенных и патогенных микроорганизмов Gardnerella vaginalis, Porphimonas spp. В кишечном пейзаже у пациенток с эндометриозом яичников III–IV стадии обнаружено преобладание Gardnerella vaginalis, Prevotella bivia, Escherichia colli, Streptococcus spp. Таким образом, можно предположить, что дисбиотические изменения как влагалища, так и кишечника вызваны аналогичными этиологическими факторами.
Контрольный анализ после проведенного лечения в обеих группах показал нормализацию биоценоза влагалища и кишечника. После терапии группы перестали различаться по частоте выявления нормоценоза, умеренно выраженного дисбиоза и выраженного дисбиоза, что свидельствует о нормализации состояния микрофлоры урогенитального тракта и кишечника у пациенток со среднетяжелым и тяжелым течением эндометриоза яичников.
Необходимы дальнейшие исследования с целью поиска ответа на вопрос, является ли дисбиоз следствием развития эндометриоза среднетяжелой и тяжелой стадии или дисбиоз – сопутствующая фоновая патология, способствующая формированию эндометриоза данной степени тяжести.
Финансирование. Исследование не имело спонсорской поддержки.
Конфликт интересов. Авторы заявляют об отсутствии конфликта интересов.
About the authors
O. B. Kalinkina
Samara State Medical University
Email: dr.aravina@gmail.com
доктор медицинских наук, профессор кафедры акушерства и гинекологии № 1
Russian Federation, SamaraYu. V. Tezikov
Samara State Medical University
Email: dr.aravina@gmail.com
доктор медицинских наук, профессор, заведующий кафедрой акушерства и гинекологии № 1
Russian Federation, SamaraI. S. Lipatov
Samara State Medical University
Email: dr.aravina@gmail.com
доктор медицинских наук, профессор кафедры акушерства и гинекологии № 1
Russian Federation, SamaraO. R. Aravina
Samara State Medical University
Author for correspondence.
Email: dr.aravina@gmail.com
ассистент кафедры акушерства и гинекологии № 1
Russian Federation, SamaraO. N. Morozova
Samara, City Hospital № 6
Email: dr.aravina@gmail.com
кандидат медицинских наук, врач%гастроэнтеролог
Russian Federation, SamaraReferences
- Ардатская М.Д., Бельмер С.В., Добрица В.П., Захаренко С.М., Лазебник Л.Б., Минушкин О.Н., Орешко Л.С., Ситкин С.И., Ткаченко Е.И., Суворов А.Н., Хавкин А.И., Шендерович Б.А. Дисбиоз (дисбактериоз) кишечника: современное состояние проблемы, комплексная диагностика и лечебная коррекция. Экспериментальная и клиническая гастроэнтерология 2015; 5: 13–50.
- Калинкина О.Б., Тезиков Ю.В., Липатов И.С., Аравина О.Р., Стулова С.В. Лабораторные предикторы восстановления фертильности у пациенток с кистами яичников после лапароскопического лечения бесплодия. Аспирантский вестник Поволжья 2019; 1–2: 54–58.
- Суворова А.Н., Ткаченко Е.И., Умпенского Ю.П. Дисбиоз кишечника. Руководство по диагностике и лечению. СПб. 2013; 270.
- Федеральные клинические рекомендации по ведению больных. Эндометриоз: диагностика, лечение и реабилитация. Под ред. Л.В. Адамян, Е.Н. Андреева, И.А. Аполихина, В.Ф. Беженарь. М. 2013; 65.
- Ahn S.H., Monsanto S.P., Miller C. Pathophysiology and Immune Dysfunction in Endometriosis. Biomed Res Int 2015; 795976: 1–12, available at: http://downloads.hindawi.com/journals/bmri/2015/ 795976.pdf.
- Flores R., Shi J., Fuhrma B., XuX. Veenstra T.D., Gail M.H., Gajer P., Ravel J., Goedert J.J. Fecal microbial determinants of fecal and systemic estrogens and estrogen metabolites: a cross-sectional study. J Translational Med 2012; 10: 253, available at: https://translational-medicine.biomedcentral.com/track/pdf/10.1186/1479-5876-10-253.
- Laschke M.W., Menger M.D. The gut microbiota: a puppet master in the pathogenesis of endometriosis? Am J Obstet Gynecol 2016; 215 (68): e61–64, available at: https://www.ajog. org/article/S0002-9378 (16) 00336-7/pdf.
Supplementary files








