Implantation microenvironment in chronic endometritis
- Authors: Polina M.L.1, Vityazeva I.I.2, Ordiyants I.M.1, Lebedeva M.G.1, Shelenina L.A.3, Zakharova P.N.4, Douglas N.I.4
-
Affiliations:
- Peoples' Friendship University of Russia
- National Medical Research Center of Endocrinology
- F.I. Inozemtsev City Clinical Hospital
- Medical Institute of the North-Eastern Federal University named after M.K. Ammosov
- Issue: Vol 40, No 3 (2023)
- Pages: 10-19
- Section: Original studies
- Submitted: 06.07.2023
- Accepted: 06.07.2023
- Published: 07.07.2023
- URL: https://permmedjournal.ru/PMJ/article/view/530667
- DOI: https://doi.org/10.17816/pmj40310-19
- ID: 530667
Cite item
Full Text
Abstract
Objective. To study the immune patterns of the endometrium in women with infertility of uterine genesis in the phase of "implantation window".
Materials and methods. Forty-two infertile women of reproductive age were prospectively examined. At the first stage, the contingent of women was divided into groups in accordance with the causes of infertility diagnosed before the current treatment: with chronic endometritis (CE) (n = 10); with tubal peritoneal infertility (TPI) (n = 32). A comprehensive examination of women included sonography of pelvic organs, hysteroscopy, examination of endometrial material in the period of the "implantation window" (morphological, immunohistochemical, real time (RT) PCR study,). The resulting for distinguishing molecular phenotypes of chronic inflammation (n = 30) and "normal" endometrium (n = 12) were the data of immunohistochemical studies of the immune profile (in the glandular epithelium and stromal cells (TNF-α, IL-10, NRF2, GM-CSF and CXCL16), in the glandular epithelium – BCA1, in the stroma – TGF-β) compared with the indicators of healthy fertile women (control group, n = 10).
CE was verified based on pathomorphological and immunohistochemical studies (CD 138+).
Results. Structural features of the endometrium in women with CE in the phase of the "implantation window" corresponded to the average stage of secretion in 36.4 %; variants of "out-of-phase" were identified in 63.6 % (late stage of the proliferation phase (16.7 %), dissociated development (13.3 %), early stage of the secretion phase (43.3 %)).
Molecular characteristics of the immunologically tolerant endometrium, favorable for implantation, are determined by the balanced production of pro-and anti-inflammatory cytokines, growth factors and chemokines.
Aggressive "microenvironment" in the endometrium of women with the phenotype of chronic inflammation was determined by the dominant of proinflammatory cytokines of the Th1/Th17 profile (an increase in comparison with the control of the expression level of TNF-α and GM-CSF – by 1.1 times and 1.2 times, in the glandular epithelium of chemokines CXCL16 and BCA1 – by 1.2 times, CXCL16 in the stroma – in 1.2 times) on the background of reduced production of protective factors (TGF-β (1 point), IL-10 (in the glandular epithelium – by 2 times, in the stroma – by 1.8 times), NRF2.
Conclusions. Different molecular characteristics of the endometrium in women with TPI and CE determine the heterogeneity of potencies for blastocyst implantation.
Full Text
Введение
Нарушение взаимодействия эндометрия и генетически и иммунологически отличного эмбриона детерминировано сложностями коммуникации на аутокринном, паракринном и эндокринном уровне биологически активных молекул – половых стероидов, факторов роста, цитокинов, хемокинов, роль и функция которых в процессе имплантации остается малоизученной [1; 2]. Причиной более двух третей неудач имплантации полагают субоптимальную рецептивность эндометрия, бесплодия и невынашивания беременности – дисрегуляцию эндометриальных/децидуальных иммунных клеток [3]. Микросреда, оптимальная для развития эмбриона, опосредована децидуальной трансформацией фибробластоподобных стромальных клеток эндометрия наряду с изменением количества и функциональной активности иммунных клеток [4]. Иммунный диалог обусловлен резидентными клетками эндометрия (Т-клетки и В-клетки) и мигрирующими (макрофаги, нейтрофилы, дендритные, тучные и естественные клетки-киллеры), определяющими иммунитет против патогенов и иммунную толерантность к эмбриону [5]. Регуляция активности, типа и количества иммунных клеток, влияющих на межклеточную передачу сигналов при ремоделировании эндометрия, децидиализации и имплантации бластоцисты осуществляется стероидными гормонами яичников. В эндометрии бесплодных женщин с хроническим эндометритом (ХЭ) выявлено возрастание В-клеток, провоспалительных цитокинов, паракринных медиаторов, молекул адгезии и хемокинов [6]. Понимание «микроокружения» матки и его влияния на взаимодействие эндометрия и эмбриона предоставляет возможность выбора дифференцированного метода лечения.
Цель исследования – изучить иммунные паттерны эндометрия женщин с бесплодием маточного генеза в фазу «имплантационного окна».
Материалы и методы исследования
Выполнено проспективное обследование 42 бесплодных женщин репродуктивного возраста, в том числе после неэффективных попыток экстракорпорального оплодотворения. Отбор и обследование женщин осуществлены на базах медицинского центра женского здоровья, отделения вспомогательных репродуктивных технологий ФГБУ «НМИЦ эндокринологии» Минздрава России г. Москвы.
На первом этапе контингент женщин распределен по группам в соответствии с диагностированными до текущего обращения причинами бесплодия: с трубно-перитонеальным (ТПБ) (n = 32) и с хроническим эндометритом (ХЭ) (n = 10). После комплексного обследования женщин (сонография органов малого таза, гистероскопия, морфологическое исследование) результирующими для выделения двух молекулярных фенотипов – хронического воспаления (n = 30) и «нормального» эндометрия (n = 12) стали данные иммуногистохимического (ИГХ) исследования иммунного профиля. Контрольную группу составили здоровые фертильные женщины (n = 10).
Критерии включения в исследование: возраст от 25 до 40 лет; бесплодие у женщин с верифицированными заболеваниями: ХЭ (морфологически и иммуногистохимически); с ТПБ (непроходимость маточных труб по данным гистеросальпингографии или хромотубации); добровольное информированное согласие.
Критерии исключения: соматические заболевания в стадии декомпенсации, острые воспалительные заболевания органов малого таза и инфекционные заболевания (туберкулез, сифилис, ВИЧ-инфекция, вирусный гепатит, острый генитальный герпес), аутоиммунные, психические заболевания, использование внутриматочного девайса на момент исследования, антибактериальная терапия не менее чем за месяц до включения в исследование.
Исследование проведено с учетом требований международных и российских законодательных актов о юридических и этических принципах медико-биологических исследований у человека. Протокол наблюдения за пациентками и программа обследования одобрены локальным этическим комитетом Медицинского института ФГБОУ РУДН, исследование выполнено в соответствии с принципами Хельсинкской декларации Всемирной ассоциации «Этические принципы научных и медицинских исследований с участием человека».
Обследование бесплодных женщин включало стандартные общеклинические и специальные методы исследования. При сонографических признаках ХЭ на 7–9-й день менструального цикла (м.ц.) и у женщин с ранее выявленным заболеванием выполняли гистероскопию с забором материала для морфологического и иммуногистохимического исследования. У всех пациенток выполняли аспирационную пайпель-биопсию эндометрия в период «имплантационного окна» (на 20–22-й день м.ц., 6–8-й день после пика овуляции). Патоморфологическое и иммуногистохимическое исследование эндометрия выполняли по стандартной методике на базе ФГБНУ НИИ морфологии человека (директор института – член-корреспондент РАН, д.м.н., профессор Л.М. Михалева). Полученные биоптаты фиксировали 10%-ным забуференным раствором формалина в течение 24 ч, далее выполняли стандартную гистологическую проводку и заливку в парафиновые блоки. Гистологические срезы толщиной 4 мкм были изготовлены с использованием ротационных микроскопов Sacura и окрашены гематоксилином и эозином. Исследование препаратов проводили с помощью светового микроскопа с увеличением от ´50 до ´1000. Интерпретацию результатов осуществляли с учетом стадии и фазы м.ц.
ИГХ-методом оценивали экспрессию цитокинов, факторов роста: в железистом эпителии и стромальных клетках (TNF-α,
IL-10, NRF2, GM-CSF и CXCL16), в железистом эпителии – ВСА1, в строме – TGF-β. Анализ результатов проводили с учетом количества окрашенных клеток и интенсивности их окраски, подсчет Histo-score (HS) – по формуле: HS = Σ (Pi · i), где Pi – процент окрашенных клеток для каждой интенсивности (от 0 до 100 %), i – интенсивность окрашивания со значением «0» (отсутствие), «1» – слабое (светло-коричневое), «2» – умеренное (коричневое) и «3» – сильное (темно-коричневое). Максимальное количество баллов – 300. Анализ результатов ИГХ-исследования с антителами к TGF-β1 проводили только в строме эндометрия полуколичественным методом путем оценки количества позитивных клеток, независимо от интенсивности окрашивания.
Интерпретация данных: «0» (отсутствие позитивных стромальных клеток), «1+» (количество клеток до 24 %), «2+» (количество клеток от 25 до 49 %) и «3+» (количество клеток от 50 %). Препараты изучали при помощи светового микроскопа Leica DML со стандартным набором оптики.
Статистический анализ данных выполнен в пакете IBM SPSS STATISTICS 22. Анализ качественных переменных осуществляли путем построения таблиц сопряженности с применением критерия согласия хи-квадрат (c2) Пирсона. Статистически значимыми считали различия при р ≤ 0,05. Количественные признаки представлены в виде медианы (Ме) и верхнего и нижнего квартилей (25-й и 75-й процентили). Для анализа количественных признаков применяли U-критерий Манна – Уитни, для множественного сравнения – критерий Краскела – Уоллиса.
Результаты и их обсуждение
Выявленные нами гистероскопические стигмы хронического воспаления – микрополипы (50,0 %) и неравномерная толщина эндометрия (50,0 %) на фоне отека, различной степени выраженности гиперемии и мелких кровоизлияний соответствовали описанным признакам в более ранних источниках [7].
При патоморфологическом исследовании образцов эндометрия с хроническим воспалением выявлена диффузная или очаговая лимфоплазмоцитарная инфильтрация стромы, очаговый или выраженный перигландулярный склероз стромы и стенок спиральных артерий. Наряду с выраженной фибропластической трансформацией стромы и наличием плотных «муфт» фибробластов вокруг желез, в просвете отдельных отмечали скопление лимфоцитов. Нарушение децидуализации стромальных клеток эндометрия при полной или неполной картине ХЭ, подтвержденного наличием CD 138+ маркированных плазматических клеток, считают одной из основных причин привычного невынашивания и бесплодия [8]. Возражением мнению о непричастности ХЭ к нарушению имплантации в программах вспомогательных репродуктивных технологий (ВРТ) полагаем анализ факторов, влияющих на рецептивность эндометрия [9].
Морфологическое исследование биоптатов эндометрия женщин с ХЭ показало наличие средней стадии секреторной фазы в 36,4 %, в остальных случаях можно говорить о «несинфазности» маточных желез дню м.ц. (поздняя стадия фазы пролиферации – 5 (16,7 %), диссоциированное развитие эндометрия – 4 (13,3 %), ранняя стадия фазы секреции – 13 (43,3 %). Полученные данные не только подтверждают, но и превосходят показатели случаев задержки дифференцировки эндометрия у трети бесплодных женщин с ХЭ [6]. В группе контроля развитие маточных желез соответствовало средней стадии фазы секреции.
Суммация данных гистероскопии и патоморфологических исследований позволила выявить два гистотипа эндометрия: при ТПБ – ХЭ (n = 20) и полноценный эндометрий (n = 12), ХЭ – в одноименной группе (n = 10). Существенные различия ИГХ-исследований эндометрия бесплодных женщин определили особенности иммунного профиля в фазу «имплантационного окна». Полученные данные сравнивали с результатами здоровых фертильных женщин (n = 10), выделяя молекулярные фенотипы: хронического воспаления – в одноименной группе (n = 10) и у 20 женщин с ТПБ, нормального эндометрия – в 12 образцах биоптатов в группе с ТПБ.
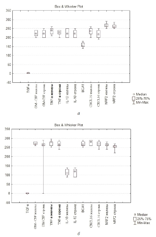
Полученные нами данные позволяют утверждать, что децидуальную трансформацию эндометрия у женщин с «нормальным» фенотипом эндометрия (рисунок, а) сопровождал провоспалительный Th1-иммунный ответ цитокиновой молекулярной «сети», модулируемой иммунокомпетентными клетками с целью контроля имплантации, миграции и инвазии трофобласта [10]. Умеренная продукция гемопоэтического цитокина GM-CSF способствовала сбалансированному влиянию на процессы пролиферации, дифференцировки и апоптоза и обеспечивала протолерантную среду для имплантации бластоцисты [11]. Повышенная экспрессия TNF-α обеспечивала реализацию воспалительного ответа, ремоделирование спиральных артерий, правильную дифференцировку, развитие клеток трофобласта и индукцию толерогенных свойств дендритных клеток [12]. Паттерны распределения IL-10 и TGF-β, влияние которых на перфузию и «рецептивность» было представлено ранее [13], указывали на равновесную экспрессию подтипов Th1-провоспалительных и Т-регуляторных (Treg) клеток.
Рис. Иммунный профиль при фенотипе: а – нормального эндометрия; б – хронического эндометрита
Молекулярные характеристики фенотипа хронического воспаления эндометрия (рисунок, б) подтверждали развитие воспалительной реакции при выявлении локальной иммунной системой инфекционных агентов или ультраструктурного «повреждения» ткани.
Агрессивную биохимическую «микросреду» в эндометрии определяла доминанта провоспалительных цитокинов профиля Th1/Th1 TNF-α и GM-CSF, экспрессия которых в железистом эпителии и стромальных клетках оказалась выше, чем в контроле, в 1,1 и в 1,2 раза соответственно (p = 0,001). Гиперэкспрессию TNF-α рассматривают как реакцию макрофагов эндометрия на липополисахариды внешней мембраны патогенных бактерий, сопряженную с риском неудач имплантации в результате нарушения передачи сигналов на рецепторы стероидных гормонов [14]. Возрастание в железистом эпителии экспрессии хемокинов СXCL16 (p = 0,001) и BCA1 – в 1,2 раза в сравнении с контролем (p = 0,001), в строме СXCL16 – в 1,2 раза (p = 0,001) – является следствием рекрутирования в зону воспаления и активации нейтрофилов, моноцитов, макрофагов и дендритных клеток. Избыточную активность хемокинов и считают одной из причин нарушения рецептивности эндометрия [15]. Данные о снижении экспрессии хемокинового CXC лиганда 13 при повторных неудачах имплантации [16] полагаем основанием к выяснению расширенного иммунного профиля эндометрия и активности сигнальных каскадов, способствующих реализации репродукции.
Вероятно, гетерогенность данных связана с активностью воспаления и дестабилизацией в период «имплантационного окна» тканевой архитектоники. Избыточную экспрессию провоспалительных маркеров (цитокинов, хемокинов и факторов роста), согласно данным исследований, считают причиной неудач имплантации [17]. Низкий уровень TGF-β при фенотипе хронического воспаления (1 балл) (p = 0,01) связан с нарушением регуляции ангиогенеза и ремоделирования ткани, фибротической трансформацией эндометрия на фоне утраты противовоспалительных, антипролиферативных и фиброгенных опций [18]. Снижение IL-10 в железистом эпителии – в 2 раза (p = 0,001), в строме – в 1,8 раза (p = 0,001) отражает количественный или функциональный дефицит противовоспалительного клона Treg-клеток. Некоторое снижение NRF2-опосредованной антиоксидантной защиты (p = 0,01) при фенотипе хронического воспаления позволяет думать об изменении сигнальных каскадов регуляции окислительно-восстановительного гомеостаза [19].
Выводы
Полученные результаты свидетельствуют, что нарушение молекулярных механизмов, опосредующих «диалог» клеток трофобласта и материнских при фенотипе ХЭ,
обусловлено изменением состава и функциональной активности иммунокомпетентных клеток эндометрия. Доказательства роли иммунных факторов в контролируемом в период «имплантационного окна» ремоделировании ткани и сосудов делают очевидным влияние аномальных паттернов субпопуляций лимфоцитов на развитие эндометриальной дисфункции. Эти наблюдения согласуются с данными, что рецептивность эндометрия требует согласованной функции различных типов клеток – эпителиальных, стромальных и иммунокомпетентных, включая цитокины, хемокины, факторы роста и молекулы адгезии [20]. Полагаем, реализация рецептивности эндометрия осуществляется посредством не только идентифицированных маркеров (интегрин αvβ3, LIF, Е-катгерины, HOX гены, пиноподии), прямо или опосредованно регулируемых активностью стероидных гормонов, но и иммунокомпетентных клеток.
Финансирование. Исследование не имело спонсорской поддержки.
Конфликт интересов. Авторы заявляют об отсутствии конфликта интересов.
Вклад авторов равноценен.
About the authors
M. L. Polina
Peoples' Friendship University of Russia
Author for correspondence.
Email: polina.ml@mail.ru
ORCID iD: 0000-0003-3883-3967
Сandidate of Medical Sciences, Assistant of the Department of Obstetrics and Gynecology with Course of Perinatology,
Russian Federation, MoscowI. I. Vityazeva
National Medical Research Center of Endocrinology
Email: polina.ml@mail.ru
ORCID iD: 0000-0002-7916-0212
MD, PhD, Head of the Department of Assisted Reproductive Technologies
Russian Federation, MoscowI. M. Ordiyants
Peoples' Friendship University of Russia
Email: polina.ml@mail.ru
ORCID iD: 0000-0001-5882-9995
MD, PhD, Professor, Professor of the Department of Obstetrics and Gynecology with Course of Perinatology
Russian Federation, MoscowM. G. Lebedeva
Peoples' Friendship University of Russia
Email: polina.ml@mail.ru
ORCID iD: 0000-0002-7236-9486
Сandidate of Medical Sciences, Associate Professor of the Department of Obstetrics and Gynecology with Course of Perinatology
Russian Federation, MoscowL. A. Shelenina
F.I. Inozemtsev City Clinical Hospital
Email: polina.ml@mail.ru
doctor of the Gynecological Department
Russian Federation, MoscowP. N. Zakharova
Medical Institute of the North-Eastern Federal University named after M.K. Ammosov
Email: polina.ml@mail.ru
postgraduate student of the Department of Obstetrics and Gynecology
Russian Federation, Sakha Yakutia, YakutskN. I. Douglas
Medical Institute of the North-Eastern Federal University named after M.K. Ammosov
Email: polina.ml@mail.ru
MD, PhD, Head of the Department of Obstetrics and Gynecology of the Faculty of Postgraduation Training
Russian Federation, Sakha Yakutia, YakutskReferences
- Maurya V.K., DeMayo F.J., Lydon J.P. Illuminating the “black box” of progesterone-dependent embryo implantation using engineered mice. Front Cell Dev Biol. 2021; 9: 640907.
- Mihaleva L.M., Boltovskaya M.N., Mihalev S.A., Babichenko I.I., Vandysheva R.A. Endometrial dysfunction caused by chronic endometritis: сlinical and morphological aspects. Arhiv patologii 2017; 79 (6): 22–29 (in Russian).
- Duffy J.M.N, Adamson G.D., Benson E., Bhattacharya S., Bofill M., Brian K. Top 10 priorities for future infertility research: an international consensus development study. Hum Reprod. 2020; 35: 2715–24.
- Gellersen B., Brosens J.J. Cyclic decidualization of the human endometrium in reproductive health and failure. Endocr Rev. 2014; 35: 851–905.
- Lee S.K., Kim C.J., Kim D.J., Kang J.H. Immune cells in the female reproductive tract. Immune Netw. 2015; 15: 16–26.
- Kitaya K., Yasuo T. Immunohistochemistrical and clinicopathological characterization of chronic endometritis. Am J Reprod Immunol. 2011. 66 (5): 410–415.
- Gkrozou F., Tsonis O., Dimitriou E., Paschopoulos M. In women with chronic or subclinical endometritis is hysteroscopy suitable for setting the diagnosis? A systematic review. J. Obstet. Gynaecol. Res. 2020; 46: 1639–1650.
- Wu D., Kimura F., Zheng L., Ishida M., Niwa Y., Hirata K., Takebayashi A., Takashima A., Takahashi K., Kushima R., Zhang G., Murakami T. Chronic endometritis modifies decidualization in human endometrial stromal cells. Reprod Biol Endocrinol. 2017; 15 (1): 16.
- Kasius J.C., Fatemi H.M., Bourgain C. The impact of chronic endometritis on reproductive outcome. Fertil. Steril. 2011; 96 (6): 1451–1456.
- Wu L., Liao A., Gilman-Sachs A., Kwak-Kim J. T cell-related endometrial gene expression in normal and complicated pregnancies. In: Kwak-Kim J. editor. Endometrial Gene Expression: An Emerging Paradigm for Reproductive Disorders. Cham: Springer International Publishing 2020; 51–66.
- Rahmati M., Petitbarat M., Dubanchet S., Bensussan A., Chaouat G., Ledee N. Colony stimulating factors 1, 2, 3 and early pregnancy steps: from bench to bedside. Journal of Reproductive Immunology 2015; 109: 1–6.
- Roberton S.A., Care A.S., Moldenhauer L.M. Regulatory T Cells in Embryo Implantation and the Immune Response to Pregnancy. J. Clin. Invest. 2018; 128: 4224–4235.
- Yen M., Donma O., Yildizfer F., Ekmekci O., Asli Karatas Kul Z., Esat Imal A., Keser Z., Cagil E., Mengi M., Ekmekci H., Sahmay S., Donma M. Association of fetuin A, adiponectin, interleukin 10 and total antioxidant capacity with IVF outcomes. Iran J Reprod Med. 2014; 12 (11): 747–54.
- Wang D., DuBois R.N. Immunosuppression associated with chronic inflammation in the tumor microenvironment. Carcinogenesis 2015; 36: 1085–1093.
- Gnainsky Y., Granot I., Aldo P.B., Barash A., Or Y., Schechtman E., Mor G., Dekel N. Local injury of the endometrium induces an inflammatory response that promotes successful implantation. Fertil Steril. 2010; 94 (6): 2030–6.
- Choi Y., Kim H.R., Lim E.J., Park M., Yoon J.A., Kim Y.S., Kim E.K., Shin J.E., Kim J.H., Kwon H., Song H., Choi D.H. Integrative Analyses of Uterine Transcriptome and MicroRNAome Reveal Compromised LIF-STAT3 Signaling and Progesterone Response in the Endometrium of Patients with Recurrent/Repeated Implantation Failure (RIF). PLoS One 2016; 11 (6): e0157696.
- Vannuccini S., Clifton V.L., Fraser I.S., Taylor H.S., Critchley H., Giudice L.C., Petraglia F. Infertility and reproductive disorders: impact of hormonal and inflammatory mechanisms on pregnancy outcome. Hum Reprod Update 2016; 22 (1): 104–15.
- Zenclussen A.C., Hämmerling G.J. Cellular Regulation of the Uterine Microenviroment That Enables Embryo Implantation. Front Immunol. 2015; 6: 321.
- Paul M.K., Bisht B., Darmawan D.O., Chiou R., Ha V.L., Wallace W.D., Chon A.T., Hegab A.E., Grogan T., Elashoff D.A., Alva-Ornelas J.A., Gomperts B.N. Dynamic changes in intracellular ROS levels regulate airway basal stem cell homeostasis through Nrf2-dependent Notch signaling. Cell Stem Cell. 2014; 15 (2): 199–214.
- Dekel N., Gnainsky Y., Granot I., Racicot K., Mor G. The Role of Inflammation for a Successful Implantation. Am J Reprod Immunol. 2014; 72 (2): 141–7.
Supplementary files




