Influence of glycodelin on the formation of immune response at the level of T-helpers and T-regulatory cells in an in vivo experiment
- Authors: Zamorina S.A.1, Troynich Y.N.2, Loginova N.P.2, Chemurzieva N.V.2, Bochkova M.S.1, Timganova V.P.1, Vlasova V.V.1, Rayev M.B.1
-
Affiliations:
- Institute of Ecology and Genetics of Microorganisms, Ural Branch of the Russian Academy of Sciences (“IEGM UB RAS”) – a branch of the Perm Federal Research Center of the Ural Branch of the Russian Academy of Sciences
- E.A. Vagner Perm State Medical University
- Issue: Vol 41, No 5 (2024)
- Pages: 147-159
- Section: Biology and experimental medicine
- Submitted: 12.09.2024
- Published: 13.11.2024
- URL: https://permmedjournal.ru/PMJ/article/view/635966
- DOI: https://doi.org/10.17816/pmj415147-159
- ID: 635966
Cite item
Abstract
Objective. To study the influence of glycodelin on T-helpers and Tregs level in the process of forming an immune response to the introduction of allogeneic bone marrow (BM) cells in a dynamic experiment on Wistar rats.
Materials and methods. The original experimental model "host versus transplant reaction" on male Wistar rats without preliminary conditioning in recipients was used in the study. Animals were administered recombinant glycodelin against the background of allogeneic intraperitoneal transplantation of BM cells in a dynamic experiment. The level of peripheral T-helpers (CD4+) and Tregs (CD4+CD25+FOXP3+), and the expression of FOXP3 in the spleen and mesenteric lymph nodes were assessed. The material was collected on the 3rd and 21st days of the experiment.
Results. Glycodelin was shown to reduce the absolute number of T-helpers in the peripheral blood (on the 3rd and 21st days) and to increase the proportion of Tregs on the 21st day of the experiment against the background of the introduction of allogeneic BM cells. It was found out, that glycodelin reduced the level of Tregs in the white pulp of the spleen on the 3rd day of the experiment, while the number of these cells on the 21st day increased, reducing the number of T-helpers at the same time. At the level of the mesenteric lymph nodes, glycodelin reduced the level of T-helpers on the 21st day of the experiment, simultaneously increasing the number of Tregs. In general, a unidirectional and distributed effect of glycodelin on the immune response at the level of T-helpers was observed, that was a decrease of T-helpers, but an increase of Tregs on the 21st day of the experiment.
Conclusion. Thus, glycodelin had an immunomodulatory effect on T-helpers and Tregs formation. The vector of the obtained effects was immunosuppressive in nature and contributed to the suppression of the immune response to allogeneic cells.
Full Text
Introduction
Glycodelin (PP14, PAEP, alpha-2-microglobulin) is a dimeric glycoprotein with a molecular weight of 42-56 kDa, a biomarker of endometrial receptivity that predetermines successful implantation. In 2018, A. Dixit with co-author in an experiment on mice showed that processing of alloactivated mononuclear cells with glycodelin prevented graft rejection [1]. This study revealed the potential of this protein as a basis for a biopreparation that debilitates post-transplantation complications. For example, Schneider and co-author suggested the possibility of using glycodelin in lung transplantation [2]. It is obvious that glycodelin can be used as a pharmacological agent not only in transplantology, but also in immunotherapy of autoimmune diseases [3]. Despite the fact that the immunosuppressive effects of glycodelin are well known [4], its role in the regulation of the immune response at the level of T-helper (Th) and T-regulatory cells (Treg) is not studied well.
The immune response is a chain of sequential complex cooperative processes occurring in the immune system in response to an antigen. T cells, namely T-helper cells, play one of the key roles in these processes. These cells help B-cells in the production of antibodies. They stimulate macrophages to increase bactericidal activity, involve phagocytes in sites of infection and inflammation, and regulate the immune response with the help of cytokines and chemokines. T-helper cells can differentiate into different subpopulations that differ in the spectrum of the produced cytokines. Activation of these cells is accompanied with the appearance of CD25 molecule on their membrane, which is the α subunit of interleukin-2 receptor (IL-2Rα)) [5]. The activated T helper cells (CD4+CD25+ T cells) are a heterogeneous population that includes several subpopulations which differ phenotypically and functionally. These also include CD4+CD25highFOXP3+ regulatory T lymphocytes (Treg) [6]. These cells show highly suppressive functions and play an important role in many immunologic processes. Thus, they are involved in the prevention of hypersensitivity, autoimmune diseases and suppression of graft versus host reaction (GvHD), they maintain T-cell homeostasis. The regulator of Tregs differentiation and function is the FOXP3 transcription factor expressed only in this subpopulation. Therefore, the human and rodent Treg phenotype can be defined as CD4+CD25+FOXP3+ [7]. It should be noted that these Treg function not only directly in the site of alloantigen penetration and immune organs, but also in the peripheral blood.
The spleen is the most important secondary organ of the immune system. The content of lymphocytes in the white pulp of the spleen reaches 85 % of the total number of cells, which is almost 25 % of all lymphocytes in the body [8]. Thus, the spleen with lymph nodes provides an adequate immune response, and that is the reason why we evaluated the differentiation of T-helper cells and Treg both in peripheral blood and in spleen and mesenteric lymph nodes.
The aim of the study is to analyze the effect of recombinant form of glycodelin on the number of T-helper cells and Treg in peripheral blood, spleen and mesenteric lymph nodes in the dynamics of development of immune response to allogeneic cells administration to Wistar rats.
Materials and methods
The experiments were conducted in the vivarium of the Perm State National Research University on 2–3-month-old male white Wistar rats with an average weight of 250 g (n = 38). The animals were held in conditions appropriate to the all-Union State Standart 33216-2014 (“Rules for working with laboratory rodents and rabbits”). Bioethical standards (European Convention for the Protection of Experimental Animals (86/609/EEC; 1986)) were followed in all experiments.
The study was conducted with the author's experimental model of the “host vs. graft” reaction described earlier [9].
BM cells from femoral bones were tested by cytostatic camptothecin to prevent the development of an immune response of donor cells against recipient cells (“graft versus host” reaction). The animal's mortification was conducted by decapitation in accordance with international rules of work with experimental animals at early (3 days) and late (21 days) development of immune response. At the same time, peripheral blood, spleen and mesenteric lymph nodes were sampled. A minimum of four different preparations of each organ for an individual animal was examined.
Rats were divided into three experimental groups: The first group (n = 8) – intact rats; the second group (n = 12) – glycodelin control (animals were injected with allogeneic bone marrow cells intraperitoneally); the third group (n = 12) – experimental animals proper (after intraperitoneal injection of allogeneic cells intramuscular injections of recombinant glycodelin (#MBS718444, “MyBioSource”, Germany) on the 1st, 5th, 9th and 12th days). The calculated achievable concentration of the medicine in the blood of animals was ≈ 0.75 μg/mL.
Assessment of Th and Treg levels. The level of these cells was evaluated according to the previously described method [9]. Cytometric determination of the cells number in subpopulations was conducted by using a ready-made antibody set to rat T-cell surface molecules FlowX Rat Regulatory T Cell Kit (R&D Systems, USA), which includes anti-CD25-PE, anti-CD4-FITC and anti-FOXP3-AlexaFluor 647 antibodies. Thawed blood samples were analyzed. They showed no signs of hemolysis and the cells remained well viable. CytoFLEX S flow cytometer (Beckman Coulter, USA) was used for this purpose. The results of cytometric analysis are presented as the percentage of cells in CD4+ (T-helper), CD4+CD25+FOXP3- (activated T-helper), and CD4+CD25+FOXP3+ (regulatory E-cells) populations.
In addition to relative counts (percentage), the data were recalculated into absolute values based on the total number of lymphocytes per ml of peripheral blood.
Immunohistochemical study was conducted by the previously described method [10]. Monoclonal antibodies (Cloude-Clon Corp, USA) to CD4 (SP35) and FOXP3 (recombinant; Tyr191-Glu412) were used to determine the qualitative composition. The positive result of immunohistochemical reaction was specific staining of cells. The results of the enumeration are presented in the form of the number of cells with positive expression of CD4 or FOXP3 in the field of view.
Statistical processing of data was performed in the GraphPad Prizm 8 program using two-factor dispersion analysis and Tukey's posterior test.
Pearson correlation coefficient between CD4/FOXP3 expression values and the number of helper and regulatory T cells was also calculated. The significance level was taken as 0.05.
Results and discussion
T-helper cells (CD4+ T cells) play a central role in immune defense. Naive CD4+ T cells after encountering an antigen can differentiate into key subpopulations of Th1, Th2, Th17 and Treg cells under the influence of a set of signals [6]. Treg have suppressive activity toward effector immune cells. Treg have suppressive activity toward effector immune cells, controlling the preservation of autotolerance, which prevents the development of inflammatory autoimmune diseases. They control the preservation of autotolerance, which prevents the development of inflammatory autoimmune diseases. Besides, Treg are important in controlling the immune response to allograft [11].
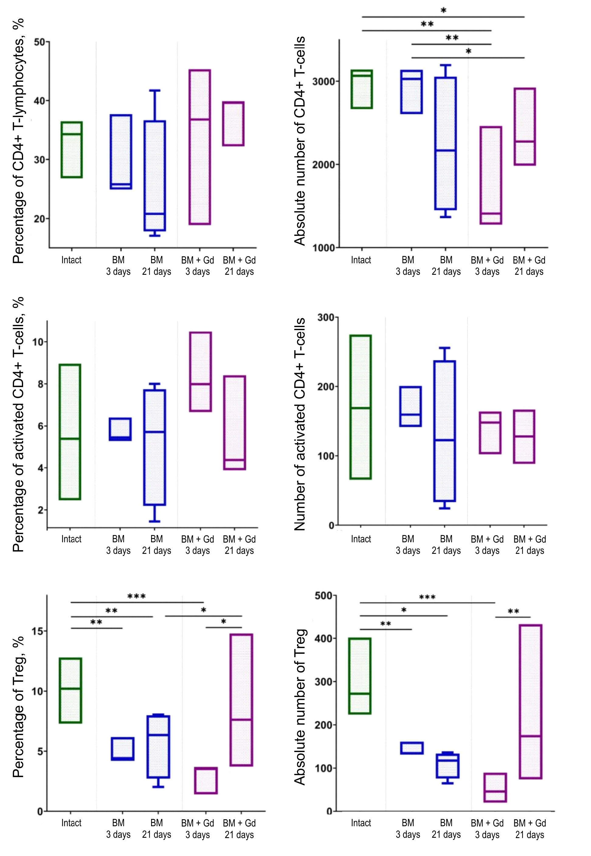
Effect of glycodelin on the level of T-helpers and Treg in the peripheral blood of experimental animals. It was found that BM injection did not affect the percentage and absolute content of T-helper cells in the peripheral blood of rats (Fig. 1). Glycodelin injection caused a decrease of the absolute number of these cells both on the 3rd and on the 21st days of the experiment. The decrease was significant both in relation to intact animals and animals that received allogeneic BM. Thus, glycodelin reduced the Th level in this experiment.
Fig. 1. Percentage content and absolute number of T-helper (CD4+), activated T-helpers (CD4+CD25+FOXP3-) and Treg (CD4+CD25+FOXP3+) in the peripheral blood of rats during injection of allogeneic BM cells and glycodelin therapy on the background of allogeneic transplantation (n = 4, M ± m): data are presented as the average and standard error of the average; * – p < 0.05; ** – p < 0.01; *** – p < 0.001 (two-factor ANOVA, Tukey's a posteriori test for multiple comparisons)
At the same time, it was found that the transplantation of BM to rats did not affect the level of activated T-helper cells (CD4+CD25+). Glycodelin injection also had no impact on the content of activated Th (see Fig. 1).
Besides, it was found that the percentage and absolute number of Treg in the total population of CD4+ T-cells significantly decreased on the third day after administration of allogeneic cells to animals in relation to the indexes of intact rats. Glycodelin injections did not result of the changes in these indices (see Fig. 1). Apparently, the injection of allogeneic BM cells itself decreased the number of Treg, which is consistent with the data of Korsunsky and co-author [12]. On the 21st day after injection of allogeneic BM cells in the 2nd group of animals (glycodelin control), the percentage and absolute amount of Treg per ml of blood were also lower than in the group of intact animals. At the same time, glycodelin increased the percentage of Treg, bringing the level of these cells closer to that among the intact animals in the 3rd group of animals (experiment) (see Fig. 1). Apparently, on 21 days of the experiment we can talk about antigen-specific Treg. Thus, glycodelin is able to increase the level of Treg in the case of immune response.
Fig. 2. The Treg level in the blood of experimental animals on the 3rd and 21st days after BM transplantation and glycodelin injection as an example of one experiment: on the abscissa axis is the fluorescence intensity of cells stained with anti-FOXP3-antibodies; on the ordinate axis is the fluorescence intensity of cells stained with anti-CD25-antibodies
Thus, injection of glycodelin on the background of allogeneic BM transplantation caused a decrease in the absolute number of T-helper cells. At the same time, the level of activated T-helper cells in the blood of the experimental groups of animals remained unchanged. The increase of the proportion of peripheral Treg in the final experiment was demonstrated (on the 21st day) under the influence of glycodelin in comparison with the group to which BM was injected.
Generally, the increase of Treg under the influence of glycodelin is a highly important immunomodulatory effect that results in suppression of the immune response to allogeneic cells.
The effect of glycodelin on the number of T-helper cells and Treg in the spleen of experimental animals. Well-developed functional areas were seen in the spleen of rats without any exposures (group 1). Wide cell-filled Billroth cords were clearly defined in the red pulp. A moderate accumulation of CD4+ lymphocytes (T-helper cells) was observed in them. The vessels of the red pulp were moderately dilated and filled with blood cells. Visual assessment showed that the white pulp covered about one-third of the organ area. The periarterial lymphoid muff (PALM) looked large and multicellular. Lymphocytes formed clusters with predominance of CD4+ cells along the edge of the PALM. The observed lymphoid nodules (B-area) varied in the size, most of them were active. CD4+ -lymphocyte clusters were detected in the marginal area. The volume of white pulp increased in the spleen of injected animals with only allogeneic BM (group 2) starting from the 3rd day. There was moderate, occasionally single presence of positively stained CD4+-cells in its areas.
Cells expressing CD4 molecule were detected in the marginal area. The white pulp areas looked active and large until the 21st day of the experiment. Multiple lymphocytes were seen, which formed diffuse clusters or lymphocyte sheaths around brush arterioles in the pulp. There was a high level of CD4 T-helper molecule expression mainly detected in the marginal area of the white pulp. More intense staining of CD4+ cells was found in the Billroth cords of the red pulp (Fig. 3).
Fig. 3. CD4/FOXP3 expression in the spleen of experimental animals, immunohistochemistry, ×200, ×400, based on individual slices
Large and small vessels of the venous channel with a wide lumen and with blood cells were determined in the spleen of rats in the experimental (3rd) group (allogeneic BM + glycodelin) on the third day after allotransplantation. Large accumulations of CD4+-lymphocytes were observed in the Billroth's cords, overfilled with cells. The white pulp covered more than 40 % of the organ area. All its areas looked developed and active, B-area was represented by large lymphoid nodules with signs of proliferation, and T-areas constituted a significant part of the white pulp, forming a dense cluster around the central artery. The expressing CD4-lymphocytes were located along the edge of the PALM. Although the functional areas of the white pulp remained active until the end of the experiment, the sizes of the T- and B-areas were reduced or unchanged. Visually, the number of CD4+-cells decreased, proliferation was slightly reduced, however, there was an accumulation of T-helper cells in the Billroth cords masses, where their differentiation process is usually completed (Fig. 3).
Statistical processing of the obtained data was conducted for detailed analysis by comparing the expression of CD4 molecule and transcription factor FOXP3 in the white pulp of the spleen of different animals groups. As a result, it was found that in intact animals the number of T-helpers (CD4+) were higher than the number of T-effectors (CD8+). BM injection (2nd group) resulted in a rapid increase in the level of T-helper cells in the white pulp of the spleen, which was observed on the 3rd and 21st days of the experiment. The use of glycodelin (3rd group) did not affect the level of T-helper cells, but on the 21st day of the experiment resulted in a decrease in the number of these cells in the white pulp of the spleen. Thus, glycodelin reduced the level of T-helper cells on the 21st day of the experiment (Table).
Effect of glycodelin on CD4 and FOXP3 expression in the white pulp of spleen,
M ± m
Marker expression, % of cells | Intact, n = 8 | BM, 3rd day, n = 12 | BM, 21st day, n = 12 | BM+Gd, Зrd day, n = 12 | BM+Gd, 21st day, n = 12 |
Spleen | |||||
CD4 | 15.34 ± 4.56 | 25.83 ± 6.43* | 29.11 ± 7.23* | 21.74 ± 6.24* | 20.57 ± 7.76*# |
FOXP3 | 9.54 ± 3.13 | 9.06 ± 4.22 | 6.14 ± 2.43 | 6.33 ± 2.78# | 12.11 ± 6.42*# |
Mesenteric lymph nodes | |||||
CD4 | 12.04 ± 4.87 | 14.68 ± 5.44 | 14.77 ± 6.14 | 22.43 ± 7.76* | 15.02 ± 5.69# |
FOXP3 | 9.76 ± 4.74 | 9.55 ± 5.12 | 7.63 ± 4.32 | 7.87 ± 5.02 | 12.66 ± 7.13*# |
Note: # – differences between time-matched BM and BM + Gd groups, * – differences with regard to the group of intact animals, indicated only significant (p < 0.05) differences (two-factor ANOVA, Tukey's posterior test for multiple comparisons).
It was shown that BM injection did not change the level of FOXP3 expression in the white pulp of the spleen in experimental animals. The use of glycodelin on the background of BM injection led to a reliable decrease in the level of FOXP3 on the 3rd day, but on the 21st day the effect was opposite, and the differences were also reliable in relation to the group of comparison (see the table).
Thus, glycodelin has an independent increasing effect on the expression of the Treg marker FOXP3, which may lead to a localized decrease of the immune response to alloantigens. This aspect of glycodelin is the most important and interesting if we consider this protein from the approach of immunopharmacology.
Effect of glycodelin on the level of T-helper and Treg in mesenteric lymph nodes in experimental animals. It was shown by evaluating the dynamics of CD4 expression in the mesenteric lymph nodes that when allogeneic BM cells were injected into the lymph nodes from the first days of the experiment, the expression of the T-helper marker was verified in the lymph nodes in the sinuses of the cortical substance and in the form of clusters in the cortical areas. The positively stained cells were present in groups in deep layers of the cortical substance, in the inter-nodal spaces and formed large clusters in the medullary substance cords by the 21st day.
Glycodelin injection at the beginning of the experiment (3rd day) did not affect the level of T-helper cells (CD4+), but increased this index on the 21st day. Analysis of FOXP3 expression showed that BM injection did not affect the level of Treg on the 3rd and 21st days. FOXP3 expression on the 3rd day was observed in single cells located diffusely within the cortical substance of the organ, in the inter-nodal spaces and in the subcapsular sinus. FOXP3 expression was verified in diffuse single cells within the cortical substance and in the form of clusters in the subcapsular sinus of the organ by the end of observation (21st day). Glycodelin injection significantly increased the expression of Treg marker on the 21st day of the experiment.
Correlation analysis showed that there is a close direct correlation between CD4 expression parameters in the spleen and mesenteric lymph nodes under the influence of glycodelin (r = 0.88; p < 0.05), whereas there are no correlations with the level of peripheral T-helper cells. A correlation between peripheral Treg levels and FOXP3 expression in the spleen was found in regard to FOXP3 expression under glycodelin exposure (r = 0.74; p < 0.05).
Thus, glycodelin reduced the level of T-helper cells at the level of mesenteric lymph nodes on the 21st day of the experiment, at the same time increasing the number of Treg. In general, increased Treg level leads to more successful transplantation of allogeneic cells.
Conclusions
It was found that glycodelin reduced the absolute number of T-helpers in the peripheral blood of rats on the 3rd and 21st day after allotransplantation and increased the number of Treg on the 21st day of the experiment. In the white pulp of spleen glycodelin decreased the level of Treg on the 3rd day, but increased their number on the 21st day, while decreasing the number of T-helpers. At the level of mesenteric lymph nodes, glycodelin decreased the level of T-helpers on the 21st day of the experiment, while increasing the number of Treg. In general, a unidirectional and distributed effect of glycodelin on the formation of immune response at the level of T-helpers was observed, which consisted in the decrease of T-helpers but increase of Treg on the 21st day of the experiment. Obviously, we observed a more expressed effect of glycodelin on the 21st day of the experiment, when antigen-specific Treg are formed.
Generally, glycodelin decreased the number of T-helper cells both in secondary organs of the immune system and in the peripheral blood, with a correlation between the pool of CD4+ cells in the spleen and lymph nodes. Typical for this experiment is that a correlative connection between Treg in the periphery and the level of FOXP3 in the spleen also appears.
It is important to mention that previously we have shown that glycodelin in similar experiments provided normalization of the content of proteins of the acute phase of inflammation (CRP, orosomucoid and α-2M) to the level of intact animals [9], and also reduced the level of proinflammatory cytokine IL-17A [13]. Histologic study of spleen slices revealed that glycodelin activated immune system cells by stimulating their proliferation (Ki-67) and their differentiation, which was demonstrated by an increase in the number of plasma cells. The content of macrophages (CD68+) significantly decreased by the end of the study (21st day), and eosinophilic infiltration was observed [14]. Thus, glycodelin is able to realize immunosuppressive effect in relation to allogeneic cells, which leads to more successful graft implantation.
It is known that at the level of human cells recombinant glycodelin under conditions of long-term cultivation in vitro increased the level of antigen-specific Treg and FOXP3 de novo expression with simultaneous inhibition of the functions of effector T-cells. The authors conclude that glycodelin has a potential therapeutic effect in autoimmune diseases by preventing the development of effector T-cells and inducing antigen-specific Treg [15]. Thus, our data also demonstrate an immunosuppressive effect of glycodelin, leading to suppression of the immune response to allogeneic cells.
About the authors
Svetlana A. Zamorina
Institute of Ecology and Genetics of Microorganisms, Ural Branch of the Russian Academy of Sciences (“IEGM UB RAS”) – a branch of the Perm Federal Research Center of the Ural Branch of the Russian Academy of Sciences
Email: zamorina.sa@gmail.com
ORCID iD: 0000-0002-6474-1487
SPIN-code: 3579-1451
Scopus Author ID: 6507973926
ResearcherId: AAA-2179-2022
DSc (Biology), Leading Researcher of the Laboratory of Cellular Immunology and Biotechnology
Russian Federation, PermYana N. Troynich
E.A. Vagner Perm State Medical University
Email: yananiktroynich@mail.ru
ORCID iD: 0000-0002-1053-6031
Scopus Author ID: 57920203200
Lecturer of the Department of Histology, Embryology and Cytology
Russian Federation, PermN. P. Loginova
E.A. Vagner Perm State Medical University
Author for correspondence.
Email: natalitsa@yandex.ru
ORCID iD: 0000-0001-8597-2682
SPIN-code: 4678-7008
Scopus Author ID: 55810132100
ResearcherId: HGB-6156-2022
DSc (Medicine), Associate Professor, Head of the Department of Histology, Embryology and Cytology
Russian Federation, PermN. V. Chemurzieva
E.A. Vagner Perm State Medical University
Email: natalivad@yandex.ru
ORCID iD: 0009-0006-0228-0896
Scopus Author ID: 58866007400
PhD (Biology), Head of the Department of Educational, Methodological and Scientific Support
Russian Federation, PermM. S. Bochkova
Institute of Ecology and Genetics of Microorganisms, Ural Branch of the Russian Academy of Sciences (“IEGM UB RAS”) – a branch of the Perm Federal Research Center of the Ural Branch of the Russian Academy of Sciences
Email: krasnykh-m@mail.ru
ORCID iD: 0000-0001-5784-6224
SPIN-code: 1309-5070
Scopus Author ID: 58025126400
ResearcherId: K-3166-2018
PhD (Biology), Researcher of the Laboratory of Cellular Immunology and Biotechnology
Russian Federation, PermV. P. Timganova
Institute of Ecology and Genetics of Microorganisms, Ural Branch of the Russian Academy of Sciences (“IEGM UB RAS”) – a branch of the Perm Federal Research Center of the Ural Branch of the Russian Academy of Sciences
Email: timganovavp@gmail.com
ORCID iD: 0000-0003-4581-1969
SPIN-code: 9154-2815
Scopus Author ID: 35779213900
ResearcherId: K-3184-2018
PhD (Biology), Researcher of the Laboratory of Cellular Immunology and Biotechnology
Russian Federation, PermV. V. Vlasova
Institute of Ecology and Genetics of Microorganisms, Ural Branch of the Russian Academy of Sciences (“IEGM UB RAS”) – a branch of the Perm Federal Research Center of the Ural Branch of the Russian Academy of Sciences
Email: violetbaudelaire73@gmail.com
ORCID iD: 0000-0002-1656-7277
SPIN-code: 3498-6567
Scopus Author ID: 56128051800
ResearcherId: AFB-6996-2022
Junior researcher, Laboratory of molecular immunology
Russian Federation, PermM. B. Rayev
Institute of Ecology and Genetics of Microorganisms, Ural Branch of the Russian Academy of Sciences (“IEGM UB RAS”) – a branch of the Perm Federal Research Center of the Ural Branch of the Russian Academy of Sciences
Email: mraev@iegm.ru
ORCID iD: 0000-0001-6882-4928
SPIN-code: 2501-5240
Scopus Author ID: 7801554240
ResearcherId: H-6289-2016
DSc (Biology), Head of the Laboratory of Cellular Immunology and Nanobiotechnology
Russian Federation, PermReferences
- Dixit A., Balakrishnan B., Karande A.A. Immunomodulatory activity of glycodelin: implications in allograft rejection. Clin Exp Immunol. 2018; 192 (2): 213–223.
- Schneider M., Muley T., Kahn N., Warth A., Thomas M., Herth F.J., Dienemann H., Meister M. Glycodelin is a potential novel follow-up biomarker for malignant pleural mesothelioma. Oncotarget. 2016; 7 (44), 1–13.
- Zamorina S.A., Troynich Y.N., Loginova N.P., Charushina Y.A., Shardina K.Y., Timganova V.P. Pregnancy-Associated Proteins as a Tool in the Therapy of Autoimmune Diseases and Alloimmune Disorders (Review). In: Rocha, A., Isaeva, E. (eds) Science and Global Challenges of the 21st Century – Science and Technology. Perm Forum 2021. Lecture Notes in Networks and Systems, vol 342. Springer, Cham 2021.
- Cui J., Liu Y., Wang X. The roles of glycodelin in cancer, development and progression. Front. Immunol. 2017; 8, 1685.
- Литвинова Л.С., Гуцол А.А., Сохоневич Н.А., Кофанова К.А., Хазиахматова О.Г., Шуплецова В.В., Кайгородова Е.В., Гончаров А.Г. Основные поверхностные маркеры функциональной активности Т-лимфоцитов. Медицинская иммунология 2014; 16 (1): 7–26 / Litvinova L.S., Gutsol A.A., Sokhonevich N.A., Kofanova K.A., Khaziakhmatova O.G., Shupletsova V.V., Kaigorodova E.V., Goncharov A.G. Basic surface markers of functional activity T-lymphocytes. Medical Immunology 2014; 16 (1): 7–26 (in Russian).
- Хайдуков С.В., Зурочка А.В. Цитометрический анализ субпопуляций Т-хелперов (Th1, Th2, Treg, Th17, T-хелперы активированные). Медицинская иммунология 2011; 13 (1): 7–16 / Khaidukov S.V., Zurochka A.V. Analysis of T Helper subpopulations (Th1, Th2, Treg, Th17, Activated T-Helpers) by means of flow cytometry. Medical Immunology 2011; 13 (1): 7–16 (in Russian).
- Rodríguez-Perea A.L., Arcia E.D., Rueda C.M., Velilla P.A. Phenotypical characterization of regulatory T cells in humans and rodents. Clin. Exp. Immunol. 2016; 185 (3): 281–91.
- Чулкова С.В., Стилиди И.С., Глухов Е.В., Гривцова Л.Ю., Неред С.Н., Тупицын Н.Н. Селезенка периферический орган иммунной системы. Влияние спленэктомии на иммунный статус. Вестн. РОНЦ им. Н.Н. Блохина РАМН 2014; 1–2 (94) / Chulkova S.V., Stilidi I.S., Glukhov E.V., Grivtsova L.Yu., Nered S.N., Tupitsyn N.N. The spleen is a peripheral organ of the immune system. The effect of splenectomy on the immune status. Bulletin of the N.N. Blokhin Russian Cancer Research Center, Russian Academy of Medical Sciences.2014; 1–2 (94) (in Russian).
- Заморина С.А., Бочкова М.С., Тимганова В.П., Ужвиюк С.В., Шардина К.Ю., Власова В.В., Раев М.Б. Влияние гликоделина на уровень Т-регуляторных лимфоцитов и белков острой фазы воспаления у крыс Wistar при введении аллогенных клеток костного мозга. Цитология 2023; 5 (65): 475–482 / Zamorina S.A., Bochkova M.S., Timganova V.P., Uzhviyuk S.V., Shardina K.Yu., Vlasova V.V., Raev M.B. The effect of glycodelin on the level of T-regulatory lymphocytes and acute phase proteins in Wistar rats with the introduction of allogeneic bone marrow cells. Cell Tiss. Biol. 2024; 18, 58–65 (in Russian)..
- Заморина С.А., Бочкова М.С., Тимганова В.П., Власова В.В., Любимов А.В., Логинова Н.П., Чарушина Ю.A., Чемурзиева Н.В., Раев М.Б. Влияние пептидов трофобластического Β1-гликопротеина на уровень периферических и локальных Т-регуляторных лимфоцитов у крыс wistar при аллогенной трансплантации клеток костного мозга. Пермский медицинский журнал 2023; 6 (4): 135–147 / Zamorina S.A., Bochkova M.S., Timganova V.P., Vlasova V.V., Lyubimov A.V., Loginova N.P., Charushina Yu.A., Chemurzieva N.V., Raev M.B. Study of pregnancy specific B1-glycoprotein peptides at the level of peripheral and local T-regulatory lymphocytes in Wistar rats during allogeneic bone marrow cell transplantation. Perm Medical Journal 2023; 6 (4): 135–147 (in Russian).
- Sakaguchi S., Yamaguchi T., Nomura T., Ono M. 2008. Regulatory T cells and immune tolerance. Cell. 2008; 133: 775–787.
- Корсунский И.А., Румянцев А.Г., Быковская С.Н. Роль регуляторных Т-клеток CD4+CD25+ и мезенхимальных стволовых клеток костного мозга в подавлении реакции трансплантат против хозяина. Онкогематология 2008; 3: 45–51 / Korsunsky I.A., Rumyantsev A.G., Bykovskaya S.N. The role of regulatory T-cells CD4+CD25+ and mesenchymal stem cells of bone marrow in suppressing the graft-versus-host reaction. Oncohematology 2008; 3: 45–51 (in Russian).
- Бочкова М.С., Тимганова В.П., Шардина К.Ю., Ужвиюк С.В., Логинова Н.П., Тройнич Я.Н., Заморина С.А. Влияние гликоделина на цитокиновый профиль крыс при аллогенной трансплантации клеток костного мозга. Бюллетень экспериментальной биологии и медицины 2022; 5 (173): 606–610 / Bochkova M.S., Timganova V.P., Shardina K.Yu., Uzhviyuk S.V., Loginova N.P., Troinich Y.N., Zamorina S.A. Effect of Glycodelin on the Cytokine Profile of Rats during Allogeneic Bone Marrow Cell Transplantation. Bull Exp Biol Med. 2022; 173: 636–640 (in Russian).
- Тройнич Я.Н., Логинова Н.П., Заморина С.А., Раев М.Б. Влияние рекомбинантного гликоделина на структуру селезенки при введении аллогенных клеток костного мозга. Пермский медицинский журнал 2022; 6 (39): 125–132 / Troynich Ya.N., Loginova N.P., Zamorina S.A., Raev M.B. Effect of recombinant glycodelin on the structure of the spleen when introducing allogeneic bone marrow cells. Perm Medical Journal 2022; 6 (39): 125–132 (in Russian).
- Ochanuna Z., Geiger-Maor A., Dembinsky-Vaknin A., Karussis D., Tykocinski M.L., Rachmilewitz J. Inhibition of effector function but not T cell activation and increase in FoxP3 expression in T cells differentiated in the presence of PP14. PLoS One. 2010; 5 (9): e12868.
Supplementary files





