COVID-19 immune trace: predictors of rheumatoid arthritis development
- Authors: Karibova A.K.1, Khlynova O.V.2, Kudaev M.T.3, Akhmedkhanov S.S.3, Mustafaev D.I.3
-
Affiliations:
- City Clinical Hospital
- Ye.A. Vagner Perm State Medical University
- Dagestan State Medical University
- Issue: Vol 42, No 1 (2025)
- Pages: 63-70
- Section: Original studies
- Submitted: 04.03.2025
- Accepted: 04.03.2025
- Published: 13.03.2025
- URL: https://permmedjournal.ru/PMJ/article/view/676832
- DOI: https://doi.org/10.17816/pmj42163-70
- ID: 676832
Cite item
Full Text
Abstract
Objective. To assess the effect of coronavirus infection on the development of true arthritis in patients with post-COVID joint syndrome
Materials and methods. Factors contributing to the development of true rheumatic disease in patients with confirmed coronavirus infection were evaluated in a prospective cohort study. General clinical and immunological tests, including markers of rheumatoid arthritis were determined.
Results. On the basis of the results of this study, it was found out that COVID-19 may act as a trigger for autoimmune diseases.
Conclusions. The results of the study indicate the trigger role of COVID-19 in the development of autoimmune diseases. Preventive measures aimed at early detection of rheumatoid arthritis among patients with SARS-COV2 are control of leukocyte count and rheumatoid arthritis markers. A follow-up with a rheumatologist with a periodic monitoring of clinical and immunological parameters is recommended if joint syndrome is revealed.
Keywords
Full Text
Введение
Аутоиммунные ревматические заболевания (АИЗ) представляют собой хронические заболевания с многофакторным механизмом. Большую роль в развитии последних играют и гендерные различия с высокой распространенностью у женщин, что составляет 78 % от всего числа АИЗ. В последнее время также большое значение придают изменению микробиома как одного из факторов развития иммуновоспалительных ревматических заболеваний (ИВРЗ) [1]. Несмотря на то, что АИЗ регистрируются у 5 % населения, в настоящее время отмечается неуклонный рост заболеваемости данными патологиями [2].
В период пандемии коронавирусной инфекции было высказано предположение, что дебют АИЗ может быть связан с развитием вирус-индуцированного аутоиммунитета. Этот процесс может происходить по различным механизмам, включая молекулярную мимикрию и нарушение аутотолерантности [1; 3]. Тем не менее роль вирусов в развитии аутоиммунных заболеваний до конца не изучена, и требуется дальнейшее исследование этого вопроса. Триггерная роль COVID-19 в развитии АВЗ, вероятнее всего, связана с гиперпродукцией провоспалительных цитокинов (IFN-γ, IL-1, IL-6, IL-12 и TNF-α) и хемокинов (CCL2, CXCL10, CXCL9 и IL-8) с формированием «цитокинового шторма». При лечении ревматических заболеваний ключевыми мишенями являются вышеуказанные цитокины [4].
В научной литературе описаны случаи артрита, развившегося после различных вирусных инфекций, включая гепатит С и альфавирусы. Например, артриты с регрессом клинических проявлений наблюдались при парвовирусной инфекции В19, гепатите В и краснухе [5]. Для новой коронавирусной инфекции характерны артралгии и миалгии, которые встречаются в 44 и 15 % случаев соответственно [6]. При этом установлено, что у 27,3 % случаев артралгии сохраняются по истечению 2 месяцев после COVID-19 [7].
Одним из проявлений аутоиммунита, характерного для SARS-CoV-2 является выявление аутоантител, так у 30 % перенесших COVID-19 выявляются антиядерные антитела. Антинуклеарный фактор выявлен у 57,6 % [8; 7]. Описаны случаи развития ревматоидного артрита (РА) после перенесенной инфекции SARS-CoV-2. Эти случаи характеризовались такими положительными маркерами по ревматоидному артриту, как ревматоидный фактор (РФ) и антитела к циклическому цитрулинированному пептиду (АЦЦП) [4; 9]. Согласно регистру Глобального ревматологического альянса (GRA) COVID-19, из 7263 заболевших COVID-19 у 2956 пациентов был зарегистрирован РА, что составляет 40,7 %, системная красная волчанка – у 1794 (17,73 %), спондилоартриты – у 713 (7,05 %) и т.д1.
Требует дальнейшего изучения феномен дебюта РА у пациентов с ранее негативными по маркерам РА через цитруллинонезависимый путь [5]. У некоторых пациентов после перенесенной инфекции SARS-CoV-2 сохраняются признаки аутоиммунитета, и у части из них развиваются аутоиммунные заболевания. В ряде исследований подтверждается связь между COVID-19 и развитием аутоиммунных заболеваний, включая РА [10]. Ревматоидный артрит является многофакторным заболеванием с генетической предрасположенностью, для которого характерны системные проявления [11]. Изучение влияние новой коронавирусной инфекции на развитие РА является интересным в перспективе анализа длительного суставного синдрома у пациентов в постковидном периоде.
Цель исследования – оценка влияния коронавирусной инфекции на развитие истинного артрита у пациентов с постковидным суставным синдромом
Материалы и методы исследования
Проведено проспективное когортное исследование с включением 1014 пациентов из клинического регистра пациентов с подтвержденной инфекцией SARS-CoV-2 методом ПЦР. При проведении исследования оценивались анамнестические данные по ревматологическому профилю из амбулаторных карт. Проведены лабораторные тесты с определением лабораторных показателей периферической крови, иммунологические тесты.
Критерии включения: подтверждённый методом ПЦР SARS-CoV-2, МСКТ легких.
Критерии исключения: пациенты с подтвержденными аутоиммунными ревматологическими, гематологическими и онкологическими заболеваниями в анамнезе; пациенты с повышением острофазовых тестов по данным амбулаторных карт
Статистический анализ проводился с использованием программы StatTech v. 4.7.1 (разработчик – ООО «Статтех», Россия). Количественные показатели оценивались на предмет соответствия нормальному распределению с помощью критерия Шапиро – Уилка (при числе исследуемых менее 50) или критерия Колмогорова – Смирнова (при числе исследуемых более 50). В случае отсутствия нормального распределения количественные данные описывались с помощью медианы (Me) и нижнего и верхнего квартилей (Q1 – Q3). Категориальные данные описывались с указанием абсолютных значений и процентных долей. 95%-ные доверительные интервалы для процентных долей рассчитывались по методу Клоппера – Пирсона. Сравнение двух групп по количественному показателю, распределение которого отличалось от нормального, выполнялось с помощью U-критерия Манна – Уитни. Направление и теснота корреляционной связи между двумя количественными показателями оценивались с помощью коэффициента ранговой корреляции Спирмена (при распределении показателей, отличном от нормального). Прогностическая модель, характеризующая зависимость количественной переменной от факторов, разрабатывалась с помощью метода линейной регрессии. Для оценки дискриминационной способности количественных признаков при прогнозировании определенного исхода применялся метод анализа ROC-кривых. Разделяющее значение количественного признака в точке cut-off определялось по наивысшему значению индекса Юдена. Различия считались статистически значимыми при p < 0,05.
Результаты и их обсуждение
По данным клинического регистра пациентов с подтвержденным COVID-19 n1014, у 283 был выявлен суставной синдром, при распределении по возрасту средний возраст составил 45 лет (36,0–55,0), была выявлена статистически значимая достоверность: развитие суставного синдрома ассоциировалось с молодым возрастом, p < 0,001. Пациенты в данной группе наблюдались на протяжении 9 месяцев, были оценены результаты периферической крови, показатели биохимического анализа. Иммунологические тесты (ревматоидный фактор (РФ), определены антитела к циклическому цитрулинированному пептиду (АЦЦП) и антинуклеарный фактор (АНФ)) были проведены пациентам как с суставным синдромом, так и без последнего с подтвержденной инфекцией COVID-19 и давшим согласие на дополнительные обследования. Пациентам, у которых сохранялся суставной синдром, было рекомендовано периодическое наблюдение у ревматолога каждые 3 месяца, с контролем лабораторных показателей. Среди исследованных проведено распределение по гендерному признаку, а также по иммунологическим маркерам. АНФ был определен у 271 пациента с суставным синдромом и у 125 пациентов с коронавирусной инфекцией без ревматологических симптомов с идентичными клиническими и лабораторными показателями. У пациентов с суставным синдромом в 30,3 % случаев отмечались титры АНФ выше 1:160, выявлена статистически значимая достоверность (p < 0,001). Среди других иммунологических маркеров статистическую достоверность выявить не удалось. В течение 9 месяцев у 26 пациентов с суставным синдромом был верифицирован РА. Распределение по гендерному признаку: 8 мужчин (30,8 %), 18 женщин (69,2 %). При этом статистически значимой достоверности не было выявлено. При исследовании пациентов, имеющих результаты иммунологических тестов из регистра COVID-19, статистическая достоверность была выявлена при оценке зависимости развития РА от РФ и АЦЦП (табл. 1).
Таблица 1 Описательная статистика категориальных переменных в зависимости от РА
Показатель | Категория | РА, абс. (%) | p | |
не установлен | верифицирован | |||
АНФ | АНФ негативный | 193 (52,0) | 16 (64,0) | 0,246 |
АНФ позитивный | 178 (48,0) | 9 (36,0) | ||
РФ | РФ негативный | 310 (90,4) | 9 (36,0) | < 0,001* |
РФ позитивный | 33 (9,6) | 17 (64,0) | ||
АЦЦП | АЦЦП негативный | 332 (96,8) | 14 (52,0) | < 0,001* |
АЦЦП позитивный | 11 (3,2) | 12 (48,0) | ||
При установленном РА в постковидном периоде у пациентов с суставным синдромом АНФ был выявлен у 9 человек (36 %), позитивность по АЦЦП – у 12 %, что составило 48 % от числа пациентов с РА. При этом РА достоверно чаще определялся в группе больных с позитивным РФ и негативным АЦЦП p < 0,001. Шансы РФ позитивного РА были выше в 16,700 раза, по сравнению с группой без РА, различия шансов были статистически значимыми (95 % ДИ: 6,844–40,750). У пациентов с АЦЦП риск развития РА были выше в 27,860 раза (95 % ДИ: 10,371–74,839). При сравнении АНФ в зависимости от РА не удалось выявить статистически значимых различий (p = 0,246) (используемый метод: Хи-квадрат Пирсона). При анализе показателей периферической крови также были установлены статистически значимые различия (табл. 2).
Таблица 2 Анализ показателей периферической крови в зависимости от РА
Показатель | Категория | РА | p | ||
Me | Q1 – Q3 | n | |||
Лц, тыс. | РА не установлен | 5,5 | 3,5–8,7 | 983 | < 0,001* |
Верифицирован РА | 3,5 | 2,7–5,3 | 26 | ||
Hg, г/л | РА не установлен | 131,0 | 121,0–143,8 | 982 | < 0,001* |
Верифицирован РА | 116,0 | 99,5–128,0 | 26 | ||
Эр, млн | РА не установлен | 4,6 | 4,0–4,9 | 976 | 0,010* |
Верифицирован РА | 4,2 | 3,4–4,6 | 26 | ||
Лимф, % | РА не установлен | 23,6 | 14,2–32,7 | 980 | 0,463 |
Верифицирован РА | 22,1 | 15,0–29,1 | 26 | ||
Тромбоциты, тыс. | РА не установлен | 181,0 | 153,0–247,0 | 982 | 0,126 |
Верифицирован РА | 161,0 | 23,8–251,5 | 26 | ||
СОЭ, мм/ч | РА не установлен | 18,0 | 8,0–30,0 | 981 | < 0,001* |
Верифицирован РА | 31,0 | 17,2–48,2 | 26 | ||
Примечание: * – различия показателей статистически значимы (p < 0,05).
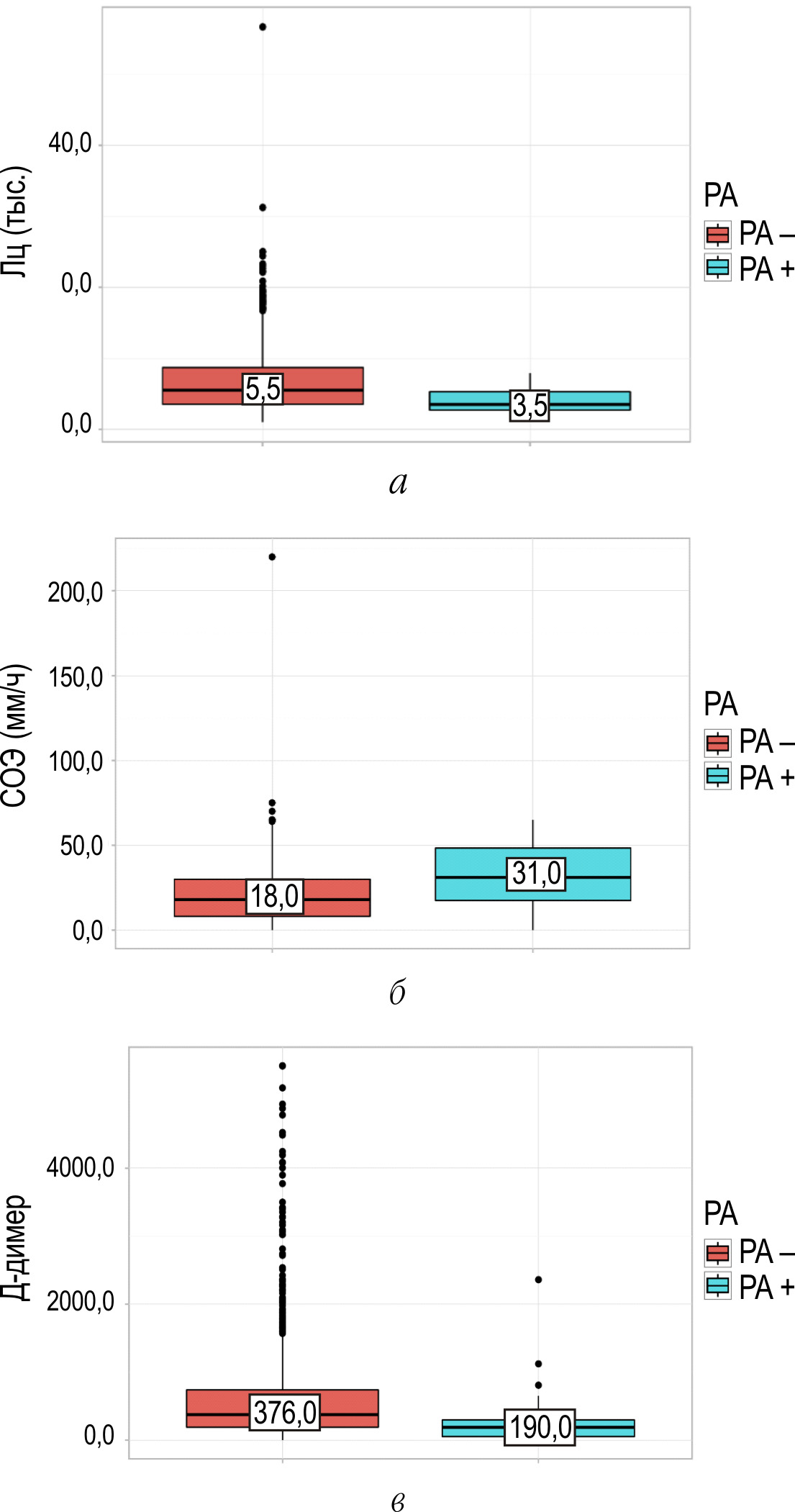
В результате сравнения лейкоцитов (Лц), гемоглобина (Hg), эритроцитов (Эр), СОЭ в зависимости от РА были установлены статистически значимые различия (p < 0,001). Прогностическими маркерами для развития аутоиммунного заболевания, кроме определения иммунологических маркеров, также могут быть лейкоциты, изменения уровня которых можно выявить на этапе острого течения коронавирусной инфекции. Также фактором, предрасполагающим к аутоиммунитету, является повышение СОЭ (рис. 1, а, б).
Рис. 1. Зависимость РА: а – от уровня Лц; б – от уровня СОЭ; в – от уровня D-димера
Интересными являются также результаты, полученные при анализе биохимических показателей пациентов из регистра COVID-19 с выявленным РА. При оценке АСТ, АЛТ, креатинина, общ. белка в зависимости от РА нами были установлены статистически значимые различия (p < 0,001). Для пациентов с РА были характерны более низкие показатели АСТ и АЛТ, общего белка, хотя данные показатели при исследовании были в пределах референсных значений. Однако не были установлены статистически значимые достоверности при анализе острофазовых тестов, таких как ферритин и СРБ, как факторов, способствующих развитию артрита. Статистически значимые различия (p < 0,001) были выявлены в результате анализа D-димера в зависимости от РА (рис. 1, в).
У пациентов также была проведена оценка шансов развития РА в зависимости от проводимой терапии группами препаратов: антиретровирусной терапии (АРВТ), ингибиторами интерлейкина 6 (иIL-6), антибактериальными лекарственными средствами. При оценке шансов: АРВТ в группе выявленного РА были выше в 1,267 раза, по сравнению с группой без РА, при этом различия шансов не были статистически значимыми (95 % ДИ: 0,074–21,801). Также различия шансов не были статистически значимыми в группе среди принимавших иIL-6 и противомикробные лекарственные средства (ОШ = 0,763; 95 % ДИ: 0,260–2,239).
При оценке половозрастных особенностей в группе с РА не удалось выявить статистически значимых различий (p = 0,146) (используемый метод: Хи-квадрат Пирсона). Однако шансы развития РА у женщин были выше в 1,851 раза, чем в группе сравнения, различия шансов не были статистически значимыми (95 % ДИ: 0,797–4,298).
При оценке риска развития РА в зависимости от степени поражения легких по данным МСКТ не удалось установить статистически значимых различий (p = 0,289) (используемый метод: Хи-квадрат Пирсона).
Нами был проведен анализ развития ревматоидного артрита среди пациентов с суставным синдромом на фоне перенесенной новой коронавирусной инфекции. В группе пациентов с РА и имевших в анамнезе постковидный суставной синдром были установлены статистически значимые различия (p < 0,001) (используемый метод: точный критерий Фишера). Все 26 случаев РА были верифицированы в группе с суставным синдромом (рис. 2). Шансы развития РА в группе с артралгиями были в 143,488 раза, различия шансов были статистически значимыми (95 % ДИ: 8,714–2362,817).
Рис. 2. Ассоциация РА с суставным синдромом в постковидном периоде
Результаты проведенного исследования с использованием данных лабораторных, клинических и иммунологических тестов продемонстрировали, что COVID-19 может спровоцировать развитие истинного ревматического аутоиммунного заболевания. Полученные данные показывают, что риск развития ревматоидного артрита выражен в группе пациентов с постковидными ревматическими проявлениями и ассоциирован с суставным синдромом, развившимся de novo на фоне коронавирусной инфекции или после нее. Предикторами, способствующими развитию ревматоидного артрита, являются низкий уровень Лц менее 3,5 тыс., повышение СОЭ и позитивность по серологическим маркерам, характерным для РА.
Выводы
Профилактическими мероприятиями, направленными на раннее выявление пациентов из группы риска развития РА при коронавирусной инфекции, является контроль лабораторных показателей, иммунологических тестов и данные клинического осмотра. Дальнейшее изучение этого вопроса обусловлено ростом числа аутоиммунных заболеваний, что требует глубокого анализа возможных триггеров, таких как COVID-19.
1 Data from The COVID-19 Global Rheumatology Alliance Global Registry, available at: https://rheumcovid.org/updates/combined-data.html.
About the authors
A. K. Karibova
City Clinical Hospital
Author for correspondence.
Email: solomon687@gmail.com
ORCID iD: 0009-0003-3690-3041
Head of the Department of Rheumatology
Russian Federation, MakhachkalaO. V. Khlynova
Ye.A. Vagner Perm State Medical University
Email: solomon687@gmail.com
ORCID iD: 0000-0003-4860-0112
DSc (Medicine), Professor, Head of the Department of Hospital Therapy and Cardiology
Russian Federation, PermM. T. Kudaev
Dagestan State Medical University
Email: solomon687@gmail.com
ORCID iD: 0000-0001-5446-1775
DSc (Medicine), Professor, Head of the Department of Therapy
Russian Federation, MakhachkalaS. Sh. Akhmedkhanov
Dagestan State Medical University
Email: solomon687@gmail.com
ORCID iD: 0000-0002-8935-220X
DSc (Medicine), Professor, Head of the Department of Internal Diseases of the Pediatric and Dental Faculties
Russian Federation, MakhachkalaD. I. Mustafaev
Dagestan State Medical University
Email: solomon687@gmail.com
ORCID iD: 0009-0004-6333-3790
Resident
Russian Federation, MakhachkalaReferences
- Korzeniowska A., Bryl E. Infectious agents in the pathogenesis of autoimmune rheumatic diseases. Translational Research. 2025; 256: 39–45. doi: 10.1016/j.trsl.2024.12.004
- Sundaresan B., Shirafkan F., Ripperger K., Rattay K. The Role of Viral Infections in the Onset of Autoimmune Diseases. Viruses. 2023; 15 (3): 782–788. doi: 10.3390/v15030782
- Habibi M.A., Nezhad Shamohammadi F., Rajaei T. Immunopathogenesis of viral infections in neurological autoimmune disease. BMC Neurol. 2023; 23 (1): 2–15. doi: 10.1186/s12883-023-03239-x
- Bouzid S., Ben Abdelghani K., Miledi S., Fazaa A., Laatar A. Can SARS-CoV-2 infection trigger rheumatoid arthritis? A case report. Clin Case Rep. 2022; 10 (4): 1–11. doi: 10.1002/ccr3.5748
- Dewanjee S., Kandimalla R., Kalra R.S. COVID-19 and Rheumatoid Arthritis Crosstalk: Emerging Association, Therapeutic Options and Challenges. COVID-19 and Rheumatoid Arthritis Crosstalk: Emerging Association. Therapeutic Options and Challenges 2021; 10 (3291): 2–21. doi: 10.3390/cells10123291
- Mukarram M.S., Ishaq G.M., Sethar S., Afsar N., Riaz A., & Ishaq K. COVID-19: An Emerging Culprit of Inflammatory Arthritis. Case reports in rheumatology 2021; 6610340: 1–8. doi: 10.1155/2021/6610340
- Ahmed S., Zimba O., Gasparyan A.Y. COVID-19 and the clinical course of rheumatic manifestations. Clinical rheumatology 2021; 40 (7): 2611–2619 doi: 10.1007/s10067-021-05691-x
- Карибова А.К., Ахмедханов С.Ш., Кудаев М.Т., Малаев Х.М. Клинико-иммунологические нарушения при COVID-19. Современная ревматология 2024; 18 (5): 90–94. doi: 10.14412/1996-7012-2024-5-90-94 / Karibova A.K., Akhmedkhanov S.Sh., Kudaev M.T., Malaev H.M. Clinical and immunological disorders in COVID-19. Modern rheumatology 2024; 18 (5): 90–94. doi: 10.14412/1996-7012-2024-5-90-94 (in Russian).
- Baimukhamedov C., Barskova T., Matucci-Cerinic M. Arthritis after SARS-CoV-2 infection. The Lancet. Rheumatology 2021; 3 (5): 324–325. doi: 10.1016/S2665-9913(21)00067-9
- Marín J.S., Mazenett-Granados E.A., Salazar-Uribe J. et al. CIncreased incidence of rheumatoid arthritis after COVID-19. Autoimmun Rev. 2023; 22 (10): 103409. doi: 10.1016/j.autrev.2023.103409
- Maroua S., Takoua M., Maissa A., Wafa T., Rim., Leila., Imen., Bassem L. Rheumatoid arthritis occurring after coronavirus disease 2019 (COVID-19) infection: Case based review. The Egyptian Rheumatologist 2022; 44 (3): 275–278 doi: 10.1016/j.ejr.2022.03.001
Supplementary files




