Непосредственные и отдаленные результаты ангиопластической лобэктомии в хирургическом лечении рака легкого
- Авторы: Киршин А.А.1,2, Напольских В.М.2, Стяжкина С.Н.2
-
Учреждения:
- Республиканский клинический онкологический диспансер им. С.Г. Примушко
- Ижевская государственная медицинская академия
- Выпуск: Том 36, № 2 (2019)
- Страницы: 21-28
- Раздел: Клинические исследования
- Статья получена: 20.06.2019
- Статья одобрена: 20.06.2019
- Статья опубликована: 23.06.2019
- URL: https://permmedjournal.ru/PMJ/article/view/14258
- DOI: https://doi.org/10.17816/pmj36221-28
- ID: 14258
Цитировать
Полный текст
Аннотация
Цель. Изучить онкологическую целесообразность применения сосудистых технологий в органосберегающем лечении рака легкого.
Материалы и методы. С 2009 по 2016 г. при немелкоклеточном раке легкого выполнено 92 лобэктомии с резекцией и реконструкцией легочной артерии у 69 (75 %) мужчин и 23 (25 %) женщин, средний возраст составил 57,8 ± 6,7 г.
Результаты. Интраоперационных осложнений и летальных исходов не было. Послеоперационные осложнения зарегистрированы в 23 случаях (25,3 %). Летальность составила 3,3 %. Общая одногодичная выживаемость больных с I–III стадиями рака легкого после выполнения органосберегающих операций составила 96,7 %, 3-летняя – 65,1 %, 5-летняя – 36,6 %, медиана выживаемости – 53,1 месяца. Безрецидивная выживаемость при I–III стадиях рака легкого составила: одногодичная – 89,9 %, трехлетняя – 65,3 %, пятилетняя – 48,8 %. Медиана безрецидивной выживаемости составила 49,8 месяца.
Выводы. Ангиопластическая лобэктомия обеспечивает приемлемый непосредственный и отдаленный результат, не уступающий аналогичным показателям при выполнении пульмонэктомии. Это подтверждает наше мнение о целесообразности выполнения этой процедуры при немелкоклеточном раке легкого.
Ключевые слова
Полный текст
ВВЕДЕНИЕ
Злокачественные новообразования являются неинфекционной эпидемией XXI в. Данный факт подтверждается высокими цифрами заболеваемости (14,1 млн случаев) и летальности (8,2 млн случаев). Чаще всего как среди заболевших, так и среди умерших диагностируют рак легкого (1 млн 800 тысяч случаев ежегодно, удельный вес 13 %, и 1 млн 600 тысяч человек, удельный вес 19,4 % соответственно) [12]. В России в 2015 г. зарегистрирован 60 351 новый случай рака легкого (41,22 случая на 100 тысяч населения, удельный вес патологии 10,2 %) и 51 280 смертей от рака легкого (35,03 на 100 тысяч населения, удельный вес 17,3 %) [1]. Ранняя диагностика заболевания сложна, порядка 75 % пациентов выявляется при III и IV стадиях опухолевого процесса, что затрудняет лечение [14, 25]. Хирургия рака легкого зачастую сопряжена с выполнением операций в объеме пульмонэктомии [13]. Полное удаление легкого, являясь радикальным вмешательством, вместе с тем не всегда обеспечивает приемлемый функциональный результат [4]. Компромиссным вариантом органосберегающего лечения является лобэктомия с удалением и последующей реконструкцией пораженных опухолью сосудов и бронхов [22]. Зарубежные исследования по проблематике зачастую объединяют бронхопластические и ангиопластические вмешательства [15–17, 19–21], что не всегда позволяет оценить значимость и перспективность сосудистого компонента в органосберегающих технологиях при операциях по поводу рака легкого. Описание серии ангиопластических лобэктомий с наибольшим числом наблюдений (90 и более) сосредоточено в клиниках всего трех авторов [5, 10, 24]. Отечественные же публикации содержат описание единичных наблюдений [2, 3]. Изучение онкологической целесообразности применения сосудистых технологий в органосберегающем лечении рака легкого явилось целью нашего исследования.
МАТЕРИАЛЫ И МЕТОДЫ ИССЛЕДОВАНИЯ
С 2009 по 2016 г. в Бюджетном учреждении здравоохранения «Республиканский клинический онкологический диспансер им. С.Г. Примушко» Министерства здравоохранения Удмуртской Республики на базе хирургического отделения № 4 (торакоабдоминальное) выполнено 92 лобэктомии с резекцией и реконструкцией легочной артерии. Предоперационное обследование включало: сбор анамнестических данных, рентгенографию органов грудной клетки, компьютерную томографию органов грудной клетки, фибробронхоскопию с биопсией, морфологическое исследование биоптатов, магнитно-резонансную томографию головного мозга (по показаниям), УЗИ/КТ органов брюшной полости, остеосцинтиграфию костей скелета (по показаниям), спирографию, эхокардиографию. Пациенты с N2-позитивным статусом (по данным КТ либо стадирующей торакоскопии) получали неоадъювантную химиотерапию. Хирургическое лечение проводилось по унифицированной методике в различных вариантах ангиопластических лобэктомий. Пациенты с N2-позитивным статусом, а также часть пациентов с N1-позитивным статусом, которые были выявлены после операции, получали адъювантную терапию. Диспансерное наблюдение включало проведение компьютерной томографии органов грудной клетки каждые 6 месяцев. Статистическая обработка полученных данных проводилась методами описательной, параметрической и непараметрической статистики (критерии Фишера, Пирсона, Манна-Уитни) на персональном компьютере с помощью программы Statistica 10.0 StatSoft USA. Расчет выживаемости выполняли актуариальным методом по Каплан-Майеру.
РЕЗУЛЬТАТЫ И ИХ ОБСУЖДЕНИЕ
Эра хирургии рака легкого началась с пульмонэктомии, и длительное время показанием к ее выполнению была прямая инвазия легочной артерии и/или вовлечение главного бронха. Впервые бронхиальную резекцию произвел P.R. Alisson в 1952 г. [6]. Первые резекция и реконструкция легочной артерии были выполнены несколько позже, в 1967, A.E. Gundersen [11]. С этого времени операции при раке легкого с резекцией и реконструкцией легочной артерии получили значительное развитие [7, 8, 23].
В объеме ангиопластической лобэктомии (АПЛ) оперированы 92 пациента с диагнозом немелкоклеточного рака легкого, из них 69 мужчин (75 %) и 23 женщины (25 %), средний возраст составил 57,8 ± 6,7 г. Большую часть пациентов, перенесших операции с реконструктивным сосудистым компонентом, составили больные в возрасте 50–59 и 60–69 лет. В каждую возрастную группу входил 31 человек (33,7 %). В возрастной группе 19–39 лет было 4 пациента (4,3 %), 40–49 лет – 15 больных (16,3 %). Старше 70 лет оперировано 12 пациентов (13,0 %). Наиболее частыми факторами коморбидности были дыхательная (хроническая обструктивная болезнь легких, 42 пациента, 45,7 %) и сердечно-сосудистая патология (гипертоническая болезнь, 38 пациентов, 41,3 %; ишемическая болезнь сердца, 32 человека, 34,8 %; нарушение ритма сердца, 12 пациентов, 13 %).
По клинико-анатомической форме центральный рак встретился в 53 случаях (57,6 %), периферический рак установлен в 15 случаях (16,3 %), периферический рак с централизацией выявлен у 24 больных (26,1 %). При этом 80 % всех АПЛ было выполнено при локализации опухоли в верхних долях легких (60,9 % слева и 19,6 % справа соответственно), реже встретилось поражение нижних долей (слева – 9,8 %, справа – 5,4 % соответственно) и средней доли справа (4,3 %). Позитивный N2-статус до операции был установлен у 12 пациентов (75 % от общего числа пациентов с pN2+). Из них позитивный N2-статус был установлен только по данным КТ в четырех случаях, 8 человек на первом этапе перенесли стадирующую диагностическую торакоскопию с биопсией медиастинальных лимфоузлов. В плане комбинированного лечения данные пациенты перенесли 3 курса платинобазирующейся химиотерапии с последующим выполнением операции в сроки 4–5 недель. Пациенты с прогрессированием N2 на фоне проведения неоадъювантной химиотерапии в исследование не включались.
При правосторонней локализации опухоли выполнено 27 ангиопластических лобэктомий в 9 вариантах, при левосторонней локализации опухоли – 65 ангиопластических лобэктомий в 6 вариантах. Выполнено 47 краевых резекций легочной артерии с ушиванием дефекта вдоль либо поперек оси сосуда, 11 окончатых резекций легочной артерии с пластикой заплатой (аутоперикард, легочная вена удаляемой доли), 29 циркулярных резекций легочной артерии с формированием прямого анастомоза и 5 циркулярных резекций легочной артерии с использованием сосудистой вставки (политетрафторэтиленовый протез, фрагмент левой плечеголовной вены, легочная вена удаляемой доли). Комбинированные ангиопластические лобэктомии выполнены в 77,2 % случаев. Преобладали бронхопластические вмешательства – 45 операций (48,9 %). По морфологической структуре преобладал плоскоклеточный рак (63 пациента, 68,5 %). Аденокарцинома легких встретилась в 21 случае (22,8 %). Прочие морфологические формы (базалоидный, крупноклеточный, аденокистозный и железисто-плоскоклеточный рак) были представлены единичными случаями. По критерию Т пациенты распределились следующим образом: pT1a выявлена в 3 случаях (3,3 %), pT1b – 5 (5,4 %), pT2a – 18 (19,6 %), рТ2b – 32 (34,8 %), рТ3 – 28 (30,4 %), рТ4 – 6 (6,5 %) случаев. Все пациенты в ходе операции получили системную ипсилатеральную лимфодиссекцию. В каждом случае было исследовано не менее 6 лимфоузлов средостения. Случаи по N-статусу распределились следующим образом: рN0 – 44 (47,8 %), рN1 – 32 (34,8 %), рN2 – 16 (17,4 %). При этом стадия Ia зафиксирована у 4 человек (4,3 %), Ib-стадия – у 6 (6,5 %), IIa-стадия – у 26 (28,3 %), IIb-стадия – у 34 (37 %), IIIа-стадия – у 22 (23,9). Показаниями к выполнению компромиссной ангиопластической лобэктомии стали инфильтрация щелевой части легочной артерии первичной периферической опухолью, расположенной в корне оперируемой доли легкого (48 случаев, 52,2 %); инфильтрация легочной артерии лимфоузлами N1 (24 случая, 26 %); инфильтрация легочной артерии лимфоузлами N2 (12 случаев, 13,1 %), десмопластическая реакция вокруг легочной артерии после неоадъювантной химиотерапии (8 случаев, 8,7 %).
Интраоперационных осложнений и летальных исходов не было. Послеоперационные осложнения возникли в 23 случаях (25,3 %). В 4 случаях (4,4 %) наблюдались геморрагические осложнения (внутриплевральное кровотечение, свернувшийся гемоторакс; по 2 случая). В 12 случаях (13,2 %) зарегистрированы бронхолегочные осложнения (несостоятельность швов анастомоза/культи бронха, длительное воздухотечение, по 3 случая; остаточная плевральная полость, пневмония, по 2 случая; эмпиема плевры без свища, ателектаз, по 1 случаю). Сердечно-сосудистые осложнения выявлены у 5 (5,5 %) больных (нарушение ритма в 2 случаях, острый инфаркт миокарда, острое нарушение мозгового кровообращения, тромбоэмболия легочной артерии (ТЭЛА), по одному случаю). Кроме того, зарегистрировано по одному случаю хилоторакса и пареза возвратного нерва.
Повторно оперированы 4 пациента по поводу геморрагических осложнений: в двух случаях внутриплеврального кровотечения источниками явились культя бронхиальной артерии и сосудистый анастомоз, в двух случаях свернувшегося гемоторакса выполнена видеоторакоскопия с удалением сгустка и санацией плевральной полости.
Послеоперационные осложнения, связанные с сосудистым компонентом, встретились в одном случае (кровотечение из зоны сосудистого анастомоза; 1,1 %).
Зарегистрировано 3 (3,3 %) летальных исхода (30-суточная летальность): острый инфаркт миокарда, ТЭЛА, микронесостоятельность бронхиального анастомоза с последующим легочным аррозионным кровотечением.
Целесообразность выполнения ангиопластических вмешательств с точки зрения безопасности рассматривается в ряде метаанализов [18]. Послеоперационная летальность при выполнении васкулярных/бронховаскулярных лобэктомий составляет 3,3 %, осложнения – 32,4 %.
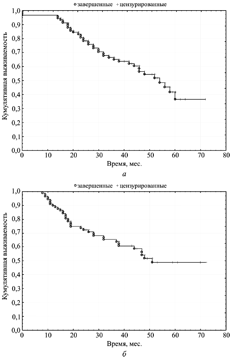
Наблюдаемая одногодичная выживаемость больных с I–III стадиями рака легкого после ангиопластической лобэктомии составила 96,7 %, 3-летняя – 65,1 %, 5-летняя – 36,6 %, медиана выживаемости – 53,1 месяца (рис., а). В процессе наблюдения выявлено, что только в одном случае (1,1 %) смерть наступила от интеркуррентных заболеваний. По данным ряда исследований [9, 18], 5-летняя выживаемость после АПЛ достигает 38,7 %, что свидетельствует о статистической значимости лучших результатов пятилетней выживаемости пациентов, перенесших реконструктивные лобэктомии, в сравнении с больными, перенесшими пульмонэктомии.
В последние два десятилетия реконструктивные операции на легочной артерии позволяют достичь как R0-резекции, так и сохранения функционирующей легочной паренхимы [17]. Вместе с тем только одно исследование приводит данные десятилетней выживаемости и дает информацию о безрецидивном периоде [24]. В зависимости от определения понятия локорегионарного рецидива его частота колеблется от 4,5 до 32,6 %, составляя в среднем 16,1 % [18].
При анализе безрецидивной выживаемости в обеих группах было исследовано распределение пациентов с прогрессированием опухолевого процесса (таблица).
Распределение пациентов с прогрессированием опухоли
Вид опухолевой прогрессии (n = 92) | Абс. | % |
Рецидив: – локальный – регионарный | 2 4 | 2,2 4,4 |
Метастазирование: – лимфогенное (в том числе контрлатеральное средостение и надключичные зоны) – висцеральное | 12 19 | 13 20,7 |
Всего | 37 | 40,2 |
Основную часть пациентов с прогрессированием опухолевого процесса составили больные с отдаленными висцеральными метастазами – 19 случаев (20,7 %). Локальный рецидив, под которым мы подразумеваем появление опухолевого узла в пределах тканей оперированного гемиторакса (оставшаяся ткань легкого, культя бронха, грудная стенка, зона резекции и пластики сосуда), возник у двух пациентов (ткань оставшегося легкого – 2,2 %). Регионарный рецидив (ткани средостения на стороне поражения) зарегистрирован у 4 пациентов (4,4 %). У всех обследованных исходно был позитивный N2-статус. Метастазирование в контрлатеральные медиастинальные лимфоузлы и надключичные лимфоузлы возникло в 12 случаях (13 %). Медиана времени до прогрессирования составила 13,6 месяца.
Пятилетняя безрецидивная выживаемость при выполнении ангиопластических лобэктомий, по данным литературы, составляет 45 % [24].
Безрецидивная выживаемость при I–III стадиях рака легкого после ангиопластической лобэктомии составила: одногодичная – 89,9 %, трехлетняя – 65,3 %, пятилетняя – 48,8 %. Медиана безрецидивной выживаемости – 49,8 месяца (рис., б).
Рис. Общая (а) и безрецидивная (б) выживаемость при I–III стадии рака легкого после ангиопластической лобэктомии
ВЫВОДЫ
- Ангиопластическая лобэктомия является технически выполнимой и безопасной процедурой. В исследовании получены приемлемые показатели числа осложнений (25,3 %) и летальных исходов (3,3 %).
- Локальных рецидивов опухоли в зоне реконструкции легочной артерии зарегистрировано не было, что свидетельствует об онкологической адекватности подобных вмешательств.
- Лобэктомии с ангиопластическим компонентом характеризуются обнадеживающими отдаленными результатами. Пятилетняя общая выживаемость составила 36,6 %, безрецидивная выживаемость достигла 48,8 %.
- Данные факты подтверждают мнение о целесообразности выполнения ангиопластической лобэктомии при немелкоклеточном раке легкого.
Об авторах
Александр Александрович Киршин
Республиканский клинический онкологический диспансер им. С.Г. Примушко; Ижевская государственная медицинская академия
Автор, ответственный за переписку.
Email: kirshinalex80@mail.ru
заведующий онкологическим отделением хирургических методов лечения № 1
Россия, 426000, г. Ижевск, ул. Труда, 3; 426034, Удмуртская Респ., г. Ижевск, ул. Коммунаров, д.281Владимир Михайлович Напольских
Ижевская государственная медицинская академия
Email: oncologii@mail.ru
профессор, заведующий кафедрой онкологии
Россия, 426034, Удмуртская Респ., г. Ижевск, ул. Коммунаров, д.281Светлана Николаевна Стяжкина
Ижевская государственная медицинская академия
Email: phac-surg@igma.udm.ru
профессор кафедры факультетской хирургии
Россия, 426034, Удмуртская Респ., г. Ижевск, ул. Коммунаров, д.281Список литературы
- Злокачественные новообразования в России в 2015 году (заболеваемость и смертность). Под ред. А.Д. Каприна, В.В. Старинского, Г.В. Петровой. М. 2017; 250.
- Кудрявцев А.С., Аникеева О.Ю., Половников Е.С., Ярмощук С.В., Дробязгин Е.А. Лечение пациента с центральным раком левого легкого и врастанием опухоли в ствол левой легочной артерии. Патология кровообращения и кардиохирургия 2015; 3: 114–117.
- Миллер С.В., Волков М.Ю., Родионов Е.О., Тузиков С.А., Евтушенко В.В., Лукьяненок П.И. Опыт ангиопластических операций при немелкоклеточном раке легкого. Международный журнал прикладных и фундаментальных исследований 2016; 6: 263–269.
- Albain K.S., Swann R.S., Rusch V.W., Turrisi A.T. 3rd, Shepherd F.A., Smith C., Chen Y., Livingston R.B., Feins R.H., Gandara D.R., Fry W.A., Darling G., Johnson D.H., Green M.R., Miller R.C., Ley J., Sause W.T., Cox J.D. Radiotherapy plus chemotherapy with or without surgical resection for stage III non-small-cell lung cancer: a phase III randomised controlled trial. Lancet 2009; 374 (9687): 379–386.
- Alifano M., Cusumano G., Strano S., Magdeleinat P., Bobbio A., Giraud F., Lebeau B., Régnard J.F. Lobectomy with pulmonary artery resection: morbidity, mortality and long-term survival. J Thorac Cardiovasc Surg 2009; 137(6): 1400–1405.
- Allison P.R. Course of thoracic surgery in Groningen. Quoted by Jones P.H. Lobectomy and bronchial anastomosis in the surgery of bronchial carcinoma. Ann R Coll Surg Engl 1959; 25: 20–38.
- D'Andrilli A., Maurizi G., Andreetti C., Ciccone A. M., Ibrahim M., Poggi C., Venuta F., Rendina E.A. Pulmonary artery reconstruction with pulmonary vein conduit for lung cancer: medium-term results. Ann Thorac Surg 2014; 98: 990–995.
- D'Andrilli A., Maurizi G., Ciccone A. M., Andreetti C., Ibrahim M., Menna C., Vanni C., Venuta F., Rendina E.A. Long-segment pulmonary artery resection to avoid pneumonectomy: long-term results after prosthetic replacement. Eur J Cardiothorac Surg 2017; 53: 331–335.
- Deslauriers J., Grégoire J., Jacques L.F., Piraux M., Guojin L., Lacasse Y. Sleeve lobectomy versus pneumonectomy for lung cancer: a comparative analysis of survival and sites or recurrences. Ann Thorac Surg 2004; 77(4): 1152–1156.
- Galetta D., Borri A., Gasparri R., Petrella F., Spaggiari L. Surgical techniques and long-term results of pulmonary artery reconstruction in patients with lung cancer. Ann Thorac Surg 2015; 100: 1196–1202.
- Gundersen A.E. Segmental resection of the pulmonary artery during left upper lobectomy. J Thorac Cardiovasc Surg 1967; 54: 582–585.
- IARC Biennial Report 2012–2013. International Agency for Research on Cancer. France 2013; 7–14.
- Kim A.W., Boffa D.J., Wang Z., Detterbeck F.C. An analysis, systematic review, and meta-analysis of the perioperative mortality after neoadjuvant therapy and pneumonectomy for non-small cell lung cancer. J Thorac Cardiovasc Surg 2012; 143(1): 55–63.
- Knight S.B., Crosbie P.A., Balata H., Chudziak J., Hussell T., Dive C. Progress and prospects of early detection in lung cancer. Open Biol 2017; 7(9): 170070.
- Kojima F., Yamamoto K., Matsuoka K., Ueda M., Hamada H., Imanishi N., Miyamoto Y. Factors affecting survival after lobectomy with pulmonary artery resection for primary lung cancer. European Journal of Cardio-thoracic Surgery 2011; 40: 13–20.
- Lausberg H.F., Graeter T.P., Tscholl D., Wendler O., Schafers H.J. Bronchovascular versus bronchial sleeve resection for central lung tumors. Ann Thorac Surg 2005; 79: 1147–1152.
- Ma Q., Liu D., Guo Y., Shi B., Tian Y., Song Z., Zhang Z., Ge B., Wang X., Т’Amico T.A. Surgical techniques and results of the pulmonary artery reconstruction for patients with central non-small cell lung cancer. J Cardiothorac Surg 2013; 8: 219.
- Ma Z., Dong A., Fan J., Cheng H. Does sleeve lobectomy concomitant with or without pulmonary artery reconstruction (double sleeve) have favorable results for non-small cell lung cancer compared with pneumonectomy? A meta-analysis. Eur J Cardiothorac Surg 2007; 32: 20–28.
- Maurizi G., D'Andrilli A., Venuta F., Rendina E.A. Bronchial and arterial resection for centrally-located lung cancers. J Thorac Dis 2016; 8: 872–881.
- Maurizi G., D’Andrilli A., Venuta F., Rendina E.A. Reconstruction of the bronchus and pulmonary artery. J Thorac Dis 2016; 8: 168–180.
- Rendina E.A., Venuta F., De Giacomo T. Sleeve resection and prosthetic reconstruction of the pulmonary artery for lung cancer. Ann Thorac Surg 1999; 68: 995–1001.
- Rendina E.A., De Giacomo T., Venuta F., Ciccone A.M., Coloni G.F. Lung conservation techniques: bronchial sleeve resection and reconstruction of the pulmonary artery. Semin Surg Oncol 2000; 18(2): 165–172.
- Vannucci J., Matricardi A., Potenza R., Ragusa M., Puma F., Cagini L. Lobectomy with angioplasty: which is the best technique for pulmonary artery reconstruction? J Thorac Dis 2018; 10(16): 1892–1898.
- Venuta F., Ciccone A.M., Anile M., Ibrahim M., De Giacomo T., Coloni G.F., Rendina E.A. Reconstruction of the pulmonary artery for lung cancer: Long term results. J Thorac Cardiovasc Surg 2009; 138: 1185–1191.
- Walters S., Maringe C., Coleman M.P., Peake M.D., Butler J., Young N., Bergström S., Hanna L., Jakobsen E., Kölbeck K., Sundstrøm S., Engholm G., Gavin A., Gjerstorff M.L., Hatcher J., Johannesen T.B., Linklater K.M., McGahan C.E., Steward J., Tracey E., Turner D., Richards M.A., Rachet B. Lung cancer survival and stage at diagnosis in Australia, Canada, Denmark, Norway, Sweden and the UK: a population-based study, 2004–2007. Thorax 2013; 68(6): 551–564.
Дополнительные файлы




