Changes in the size of dental arches in different variants of the course of the retention period of treatment in patients with anomalies in the maxillary canines position
- Authors: Rusanova D.A.1, Ishmurzin P.V.1
-
Affiliations:
- E.A. Vagner Perm State Medical University
- Issue: Vol 41, No 6 (2024)
- Pages: 68-75
- Section: Original studies
- Submitted: 06.09.2024
- Published: 15.12.2024
- URL: https://permmedjournal.ru/PMJ/article/view/635747
- DOI: https://doi.org/10.17816/pmj41668-75
- ID: 635747
Cite item
Full Text
Abstract
Objective. To assess the changes in the size of dental arches in different variants of the course of the retention period in patients with anomalies in the position of the maxillary canines in a long-term follow-up.
Materials and methods. An open prospective clinical and instrumental study with elements of retrospective analysis was conducted. The study included 69 patients aged 18 to 45 (median age 24,1 ± 0,9 years) in the retention period of orthodontic treatment for anomalies in the position of the maxillary canines. The duration of patients` observation was from 2 to 8 years (median duration 3,57 ± 0,24 years).
The patients were divided into groups depending on the course of the retention period. Group 1 contained patients with an unfavorable course (having a relapse of the dentoalveolar anomaly): 22 people (9 males and 13 females), average age 23,8 ± 3,4 years; group 2 included patients with a favorable course (having a clinically stable result of treatment): 47 people (19 males and 28 females), average age 22,6 ± 1,9 years.
Results. At a long-term follow-up in the retention period a common pattern of geometric changes in the dentition with various degrees of severity, was revealed in patients of both groups. The most pronounced reduction of the transverse dimensions of the dental arches was in the area of the maxillary canines (–1,38 ± 0,27 mm in group 1, – 0,30 ± 0,20 mm in group 2) and upper premolars (–3,25 ± 0,52 mm in group 1, –1,27 ± 0,12 mm in group 2). The increase in the length of the anterior sections of the dental arches in individuals with the phenomena of "true relapse" was 0,95 ± 0,32 mm on the upper jaw, 0,50 ± 0,19 mm on the lower jaw, in individuals with "relapse-like movement" of teeth – 2,44 ± 0,16 mm on the upper jaw and 1,53 ± 0,24 mm on the lower jaw, in patients with a stable treatment result – 0,66 ± 0,25 on the upper jaw, 0,51 ± 0,19 mm on the lower jaw, which indicates a mutually balanced change in the transverse and sagittal parameters.
Conclusions. In the long-term observation period (2 or more years from the beginning of the retention period of orthodontic treatment), a change in the metric parameters of the dental arches is revealed in patients with anomalies in the position of the maxillary canines, which causes a recurrent change in their shape in the lateral parts. At the same time, the final values of absolute increase of transverse parameters both in case of a stable result of orthodontic treatment and with a relapse of the anomaly practically have no differences.
Full Text
Введение
По данным эпидемиологических наблюдений отечественных и зарубежных авторов у пациентов с завершенным ростом скелета челюстно-лицевой области частота аномалий положения зубов и смыкания зубных рядов в различных социальных группах варьируется от 25 до 89 % [1; 2]. Аномалии положения клыков верхней челюсти у пациентов в период постоянного прикуса встречаются с приблизительной частотой 31,7 %, что в среднем составляет одну треть от общего числа зубочелюстных аномалий, и приводят к следующим морфофункциональным изменениям орофациального комплекса: изменение формы зубных дуг, дисфункция височно-нижнечелюстного сустава, изменение профиля мягких тканей лица и др. [3; 4].
Целью ортодонтического лечения является нормализация окклюзионных взаимоотношений, формы и размеров зубных дуг. Для решения поставленных задач у пациентов молодого возраста с аномалиями положения клыков верхней челюсти отечественными и зарубежными авторами предложен широкий спектр методов лечения [5; 6]. Несмотря на многообразие ортодонтических, ортопедических и комбинированных техник лечения, не во всех клинических случаях представляется возможным достичь удовлетворительного клинического результата [7].
Неблагоприятный исход лечения у пациентов с аномалиями положения клыков верхней челюсти в период постоянного прикуса определяется не только эстетическими, рентгенологическими и функциональными признаками. Одним из ключевых факторов, определяющих несостоятельность ортодонтического лечения, принято считать отсутствие долгосрочной стабильности результата в период ретенции, или рецидив зубочелюстной аномалии [8; 9].
Цель исследования – оценить изменения размеров зубных дуг у пациентов с аномалиями положения клыков верхней челюсти в отдаленные сроки наблюдения при различных вариантах течения ретенционного периода.
Материалы и методы исследования
Проведено открытое проспективное клинико-инструментальное исследование с элементами ретроспективного анализа. В исследование вошли 69 пациентов в возрасте от 18 до 45 лет (средний возраст 24,1 ± 0,9 года), завершившие активный период ортодонтического лечения. Продолжительность наблюдения пациентов в ретенционном периоде составила от 2 до 8 лет (средняя продолжительность 3,57 ± 0,24 года).
Критерии включения в исследование: возраст пациентов от 18 до 45 лет (т.е. группа лиц молодого возраста); завершенный активный период ортодонтического лечения, аномалии положения коронок клыков верхней челюсти в анамнезе (супра-, вестибулоположение, тортоаномалия, ретенция с вестибулярным положением клыка); срок наблюдения в ретенционном периоде два года и более; состоятельность несъемных проволочных ретейнеров на обеих зубных дугах; наличие полного комплекта медицинской документации и информированного согласия на включение пациента в исследование.
Критерии невключения в исследование: периоды молочного и сменного прикуса; возраст пациента старше 45 лет или младше 18 лет; прерванный активный период ортодонтического лечения; иные зубочелюстные аномалии в анамнезе (например, нёбное положение клыка/клыков верхней челюсти, ретенция с нёбной локализацией зуба и др.); деструктивные изменения или дебондинг несъемного ортодонтического ретейнера в течение первых двух лет ретенционного периода более трех раз; неполный комплект медицинской документации и/или отказ пациента от участия в исследовании.
В отдаленные сроки наблюдения ретенционного периода ортодонтического лечения у ряда пациентов определялось клинически значимое негативное перемещение зубов и их групп. Согласно этому можно выделить два варианта течения ретенционного периода:
- – благоприятный – результаты ортодонтического лечения стабильны и функционально удовлетворительные. При этом перемещение зубов может отсутствовать, может быть незначительным и клинически неопределяемым;
- – неблагоприятный – определяется рецидив аномалий положения клыков верхней челюсти («истинный рецидив») или «рецидивоподобное перемещение» других зубов или их групп, приводящее к нарушению окклюзии зубных рядов.
В зависимости от варианта течения ретенционного периода пациенты были поделены на группы:
- – 1-я группа – лица с неблагоприятным течением ретенционного периода (n = 22: 9 мужчин и 13 женщин), средний возраст лиц в группе был равен 23,8 ± 3,4 года;
- – 2-я группа – лица, с благоприятным течением ретенционного периода (n = 47: 19 мужчин и 28 женщин), средний возраст лиц в группе – 22,6 ± 1,9 года.
Анализ биометрических изменений проведен на основании измерений трансверзальных и сагиттальных размеров зубных дуг в области соответствующих маркерных точек на контрольно-диагностических моделях челюстей пациентов до и после ортодонтического лечения и после двух лет от начала ретенционного периода.
Для всех показателей рассчитаны величины изменений до и после ортодонтического лечения и в отдаленные сроки наблюдения в ретенционном периоде (D).
Формирование базы данных и их обработка проводились с использованием программ Microsoft Office (Microsoft Corp., USA), Microsoft Excel, пакета Stata/MPv.13.0 for Windows (Stata Corp. LP, USA) и онлайн-калькулятора medstatistic.ru. Исходные количественные данные обеих групп имели нормальное распределение согласно критерия Колмогорова-Смирнова. Для количественных признаков вычислялись среднее арифметическое значение (M), стандартная ошибка среднего (m). Для оценки достоверности различий использовали F-критерий Фишера. В качестве пограничного уровня статистической значимости принимали значение p ˂ 0,05.
Результаты и их обсуждение
В обеих группах наблюдения морфометрические изменения зубных дуг в процессе ортодонтического лечения выражались в расширении зубных рядов, наиболее выраженном в области премоляров и удлинении зубных дуг, наиболее выраженном на верхней челюсти. Значимые изменения трансверзальных размеров в области верхних клыков отсутствовали (табл. 1). Необходимо отметить, что, несмотря на единый «геометрический тренд», степень трансформации зубных рядов между группами отличалась. Достоверные различия определены в отношении величины расширения в области первых премоляров верхней челюсти (5,00 ± 0,52 мм в 1-й группе, 3,20 ± 0,37 мм во 2-й группе), клыков верхней (2,12 ± 0,35 мм в 1-й группе, 0,88 ± 0,38 мм во 2-й группе) и нижней челюстей (0,60 ± 0,36 мм в 1-й группе и 1,59 ± 0,40 мм во 2-й группе), величины удлинения фронтального отдела верхней (2,45 ± 0,49 мм в 1-й группе и 1,24 ± 0,37 мм во 2-й группе) и нижней (1,70 ± 0,39 мм в 1-й группе и 0,61 ± 0,30 мм во 2-й группе) зубных дуг. Также достоверные различия выявлены в разности длин зубных дуг (в 1-й группе 1,58 ± 0,16 мм, во 2-й – 2,22 ± 0,24 мм).
В отдаленные сроки наблюдения в ретенционном периоде «истинный рецидив», заключающийся в частичном возврате клыков верхней челюсти в первоначальное положение, определен в 21,2 % случаев (n = 15). «Рецидивоподобное перемещение» зубов, заключающееся в самопроизвольном перемещении других зубов и изменении смыкания зубных рядов, выявлено у 28,9 % пациентов (n = 20). Изолированно «истинный рецидив» зафиксирован в 2 случаях (2,9 %), изолированно «рецидивоподобное перемещение» зубов – в 7 случаях (10,1 %), в остальных случаях самопроизвольное перемещение клыков сочеталось с изменением положения остальных зубов, формированием аномалий зубных рядов и окклюзии.
Таблица 1
Изменение параметров зубов и зубных дуг в процессе ортодонтического лечения у пациентов с аномалиями клыков верхней челюсти
Оцениваемый параметр, мм | 1-я группа, n = 22 | 2-я группа, n = 47 |
D 1,3–2,3 | 2,12 ± 0,35 | 0,88 ± 0,38* |
D 1,4–2,4 | 5,00 ± 0,52 | 3,20 ± 0,37* |
D 1,6–2,6 | 2,14 ± 0,56 | 1,81 ± 0,26 |
D 3,3–4,3 | 0,60 ± 0,36 | 1,59 ± 0,40* |
D 3,4–4,4 | 2,45 ± 0,36 | 2,25 ± 0,32 |
D 3,6–4,6 | 1,98 ± 0,52 | 1,51 ± 0,43 |
D l | 2,45 ± 0,49 | 1,24 ± 0,37* |
D l ’ | 1,70 ± 0,39 | 0,61 ± 0,30* |
l – l ’ | 1,58 ± 0,16 | 2,22 ± 0,24* |
Примечание: * – достоверное различие между показателями в 1-й и 2-й группах (р < 0,05).
У пациентов 1-й и 2-й групп наблюдения в ретенционном периоде ортодонтического лечения зафиксированы редукционные изменения трансверзальных размеров зубных дуг в области клыков верхней челюсти, а также премоляров и моляров обеих челюстей (табл. 2). Несмотря на общий морфогеометрический паттерн изменений зубных рядов, определено достоверное различие величин биометрических показателей у пациентов в каждой группе наблюдения.
Таблица 2
Изменение трансверзальных параметров зубных дуг в ретенционном периоде ортодонтического лечения у пациентов с аномалиями клыков верхней челюсти в отдаленные сроки наблюдения
Оцениваемый параметр, мм | 1-я группа, n = 22 | 2-я группа, n = 47 |
D 1,3–2,3 | –1,38 ± 0,27 | –0,30 ± 0,20* |
D 1,4–2,4 | –3,25 ± 0,52 | –1,27 ± 0,12* |
D 1,6–2,6 | –1,50 ± 0,74 | –0,83 ± 0,15 |
D 3,3–4,3 | 0,29 ± 0,78 | –0,85 ± 0,14 |
D 3,4–4.4 | –1,12 ± 0,48 | –0,89 ± 0,16 |
D 3,6–4,6 | –0,82 ± 0,43 | –0,55 ± 0,44 |
Примечание: * – достоверное различие между показателями в 1-й и 2-й группах (р < 0,05).
Так, у пациентов с признаками рецидива аномалии величина редукции трансверзальных размеров зубных дуг больше в области верхних клыков (–1,38 ± 0,27 мм в 1-й группе, –0,30 ± 0,20 мм во 2-й группе) и верхних премоляров (–3,25 ± 0,52 мм в 1-й группе, –1,27 ± 0,12 мм во 2-й группе). Необходимо отметить, что у пациентов 1-й группы в отдаленные сроки наблюдения практически отсутствуют признаки сужения зубной дуги в области клыков нижней челюсти (0,29 ± 0,78 мм в 1-й группе, –0,85 ± 0,14 мм во 2-й группе).
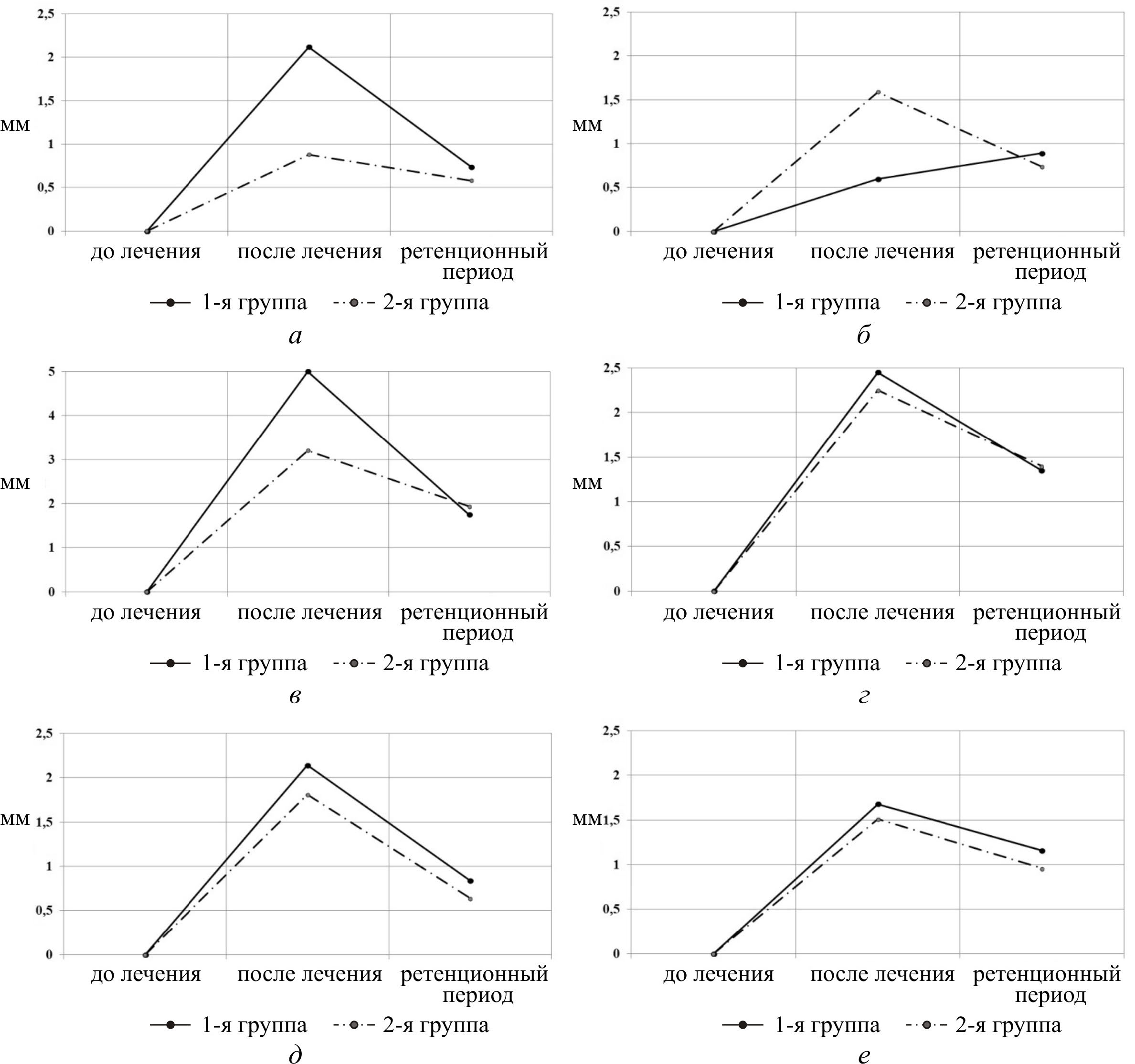
Рис. Типичные осцилляции трансверзальных параметров зубных дуг в ретенционном периоде ортодонтического лечения пациентов с аномалиями клыков верхней челюсти: а – Δ1,3–2,3; б – Δ3,3–4,3; в – Δ1,4–2,4; г – Δ3,4–4,4; д – Δ1,6–2,6; е – Δ3,6–4,6
Рисунок демонстрирует, что при рекуррентном изменении формы зубных дуг в боковых отделах конечные значения абсолютных приростов трансверзальных параметров в 1-й и 2-й группах наблюдения в отдаленные сроки наблюдения практически не имеют различий.
Анализ изменений сагиттальных параметров зубных рядов в ретенционном периоде в отдаленные сроки наблюдения у пациентов с аномалиями положения клыков верхней челюсти выявил типичную реакцию формы зубного ряда на уменьшение трансверзальных параметров в виде удлинения фронтального отдела. Данное явление определено в обеих группах наблюдения (табл. 3).
Таблица 3
Изменение сагиттальных параметров зубных дуг в ретенционном периоде ортодонтического лечения у пациентов с аномалиями клыков верхней челюсти в отдаленные сроки наблюдения
Оцениваемый параметр, мм | 1-я группа, n = 22 | 2-я группа, n = 47 | |
истинный рецидив, n = 15 | рецидивоподобное перемещение, n = 20 | ||
Dl | 0,95 ± 0,32 | 2,44 ± 0,16 | 0,66 ± 0,25 |
Dl’ | 0,50 ± 0,19 | 1,53 ± 0,24 | 0,51 ± 0,19 |
l – l’ | 1,50 ± 0,24 | 0,68 ± 0,36 | 2,05 ± 0,21* |
Примечание: * – достоверное различие между показателями в 1-й и 2-й группах (р < 0,05).
У пациентов с рецидивом аномалии степень увеличения длин фронтальных отделов зубных рядов коррелировала преимущественно с формой рецидива. При «истинном рецидиве» прирост длины верхнего зубного ряда составил 0,95 ± 0,32 мм, нижнего – 0,50 ± 0,19 мм, что свидетельствует о том, что уменьшение трансверзальных размеров зубных дуг было уравновешено негативным изменением положения клыков верхней челюсти (ротация, смещение в вертикальной и/или сагиттальной плоскостях). На фоне изменений положения других зубов (т.е. резцов и премоляров) при «рецедивоподобном перемещении» позиция верхних клыков остается практически неизменной, и определяется увеличение длины верхнего зубного ряда на 2,44 ± 0,16 мм, нижнего – на 1,53 ± 0,24 мм. Это свидетельствует, что компенсация дефицита пространства происходит в основном за счет увеличения протрузии резцов, что приводит уменьшению диспропорции длин фронтальных отделов (до 0,7 мм) и нарушению смыкания резцов.
У лиц со стабильным результатом ортодонтического лечения редукция трансверзальных размеров зубной дуги составила в зависимости от топографии от 0,30 ± 0,20 до 1,27 ± 0,12 мм, что привело к приросту длины фронтального отдела верхнего зубного ряда 0,66 ± 0,25 мм, нижнего – 0,51 ± 0,19 мм. Физиологическое значение разности длин фронтальных отделов зубных дуг было стабильно и составило 2,05 ± 0,21 мм. Таким образом, определяемые изменения трансверзальных и сагиттальных размеров зубных дуг в пределах индивидуально допустимых интервалов обусловили постоянство клинической картины и стабильность результата ортодонтического лечения.
Выводы
В отдаленные сроки наблюдения (два года от начала ретенционного периода ортодонтического лечения и позже) у пациентов с аномалиями положения клыков верхней челюсти определяется изменение метрических параметров зубных рядов, что обусловливает рекуррентное изменение их формы в боковых отделах. При этом конечные значения абсолютных приростов трансверзальных параметров как в случае стабильного результата ортодонтического лечения, так и при наличии рецидива аномалии практически не имеют различий.
Финансирование. Исследование не имело спонсорской поддержки.
Конфликт интересов. Авторы заявляют об отсутствии конфликта интересов.
Вклад авторов равноценен.
About the authors
D. A. Rusanova
E.A. Vagner Perm State Medical University
Author for correspondence.
Email: rurusanovs@gmail.com
ORCID iD: 0000-0002-1321-4871
Postgraduate Student of the Department of Childhood Dentistry and Orthodontics
Russian Federation, PermP. V. Ishmurzin
E.A. Vagner Perm State Medical University
Email: rurusanovs@gmail.com
ORCID iD: 0000-0003-2344-1266
DSc (Medicine), Associate Professor of the Department of Childhood Dentistry and Orthodontics
Russian Federation, PermReferences
- Proffit W.R., Fields Jr. H.W., Sarver D.M. Contemporary Orthodontics. 5th ed. Elsevier 2012; 617.
- Бронников В.А., Залазаева Е.А. Перинатальные факторы риска у детей с церебральными параличами, имеющих речевые и зубочелюстные нарушения. Вестник неврологии, психиатрии и нейрохирургии 2013; 1: 55–62 / Bronnikov V.A., Zalazaeva E.A. Perinatal risk factors in children with cerebral palsy, speech and dental disorders. Vestnik nevrologii, psihiatrii i nejrohirurgii 2013; 1: 55–62 (in Russian).
- Nanda R. Esthetics and biomechanics in orthodontics. Oxford University Press in the UK: CRC Press 2015; 612.
- Ишмурзин П.В., Данилова М.А. Функциональные нарушения у пациентов с трансверзалльными аномалиями окклюзии. Ортодонтия 2004; 3–4: 47–51 / Ishmurzin P.V., Danilova M.A. Functional disorders in patients with transversal occlusion abnormalities. Ortodontiya 2004; 3–4: 47–51 (in Russian).
- Асташина Н.Б., Анциферов В.Н., Рогожников Г.И., Каченюк М.Н., Казаков С.В., Мартюшева М.В. Перспективы использования наноматериалов и высоких технологий в ортопедической стоматологии. Часть 1. Стоматология 2014; 1 (93): 37–39 / Astashina N.B., Antsiferov V.N., Rogozhnikov G.I., Kacheniuk M.N., Kazakov S.V., Martiusheva M.V. Prospects for the use of nanomaterials and high technology in dentistry. Part 1. Stomatology 2014; 93 (1): 37–39 (in Russian).
- Данилова М.А., Халова Ю.С., Ишмурзин П.В. Принципы и методы лечения пациентов с дистальной окклюзией зубных рядов. Ортодонтия 2019; 4 (88): 41–50 / Danilova M.A., Khalova Yu.S., Ishmurzin P.V. Treatment approaches to patients with distal occlusion. Ortodontiya 2019; 4 (88): 41–50 (in Russian).
- Данилова М.А., Бронников В.А., Залазаева Е.А. Современные подходы к реабилитации детей со сложными двигательными и речевыми дефектами с позиций международной классификации функционирования. Стоматология 2018; 97 (6–2): 80 / Danilova M.A., Bronnikov V.A., Zalazaeva E.A. Modern approaches to the rehabilitation of children with complex motor and speech defects from the standpoint of the international classification of functioning. Stomatology 2018; 6–2 (97): 80 (in Russian).
- Burstone C.J. The biomechanical foundation of clinical orthodontics. Quintessence Publishing 2015; 580.
- Littelwood S.J., Millett D.T., Doubleday B. Orthodontic retention: a systematic review. J Orthod. 2006; 33 (3): 205–212.
Supplementary files



