“Critical” values of parameters of facial profile esthetics
- Authors: Danilova M.A.1, Ishmurzin P.V.1, Konkova A.M.1
-
Affiliations:
- E.A. Vagner Perm State Medical University
- Issue: Vol 40, No 3 (2023)
- Pages: 36-43
- Section: Original studies
- Submitted: 06.07.2023
- Accepted: 06.07.2023
- Published: 07.07.2023
- URL: https://permmedjournal.ru/PMJ/article/view/530668
- DOI: https://doi.org/10.17816/pmj40336-43
- ID: 530668
Cite item
Full Text
Abstract
Objective. To carry out the expert assessment of the facial profile esthetics with transformation of angular parameters beyond the normal values.
Materials and methods. The expert analysis enclosed 22 independent orthodontists (11 men, mean age 36.8 ± 1.2 years; 11 women, mean age 35.3 ± 2.2 years) using graphic schemes of male and female facial profiles with changed angular parameters.
Results. It was established that the changed angular parameters of the facial profile beyond the borders of the referent intervals negatively influence the assessment of attractiveness of the profile. The analysis of expert evaluation curves detected the values, with which the facial profile is perceived as an unattractive: the profile angle in men > 164° and < 182°, in women < 160° and > 178°; the convexity angle of the face in men > 16° and < 2°, in women > 14° and < 2°; the nasolabial angle in men > 120° and < 70°, in women > 115° and < 70°; the mentolabial angle in men > 150° and < 90°, in women > 150° and < 95°; the convexity angle of the lips in men > 150° and < 85°, in women > 150° and < 105°; the nasofacial angle for both sexes > 45° and < 20°. There exist also “critical” values of parameters, on reaching which the further change in the latter does not lead to the change in expert evaluation of “extremely unattractive” profile.
Conclusions. When evaluating the facial profile esthetics, it is necessary to orientate oneself to the degree of deviation of parameters from the mean values taking into account the gender dimorphism. The presence of parameter with “critical” value has an extremely negative effect on the profile esthetics, which is characterized as “extremely unattractive” irrespective of the values of other parameters.
Full Text
Введение
Архитектоника мягких тканей лица обусловлена особенностями расположения/размеров костей лицевого скелета. Модель роста мягких тканей лица и костного каркаса лицевого черепа закладывается во временном прикусе и реализуется в неизменном виде при в случае отсутствия влияния значимых внешних факторов вплоть до окончания активного периода роста [1; 2].
Скелетные формы зубочелюстно-лицевых аномалий отражаются на эстетике лица. В зависимости от степени выраженности могут иметь ярко выраженные лицевые симптомы или компенсироваться мягкими тканями лица. «Мягкотканный камуфляж» наиболее полноценен в раннем детском возрасте. По мере роста лицевого скелета, а затем вследствие возрастных изменений лицевые симптомы аномалий положения и размеров челюстей становятся более выраженными [3–5].
Объективная оценка эстетики лица заключается в определении соответствия метрических параметров лица физиологическим нормам. Анализируемые показатели чаще всего описываются средним значением и стандартным отклонением. Значение параметра за пределами границ референтного интервала считается ненормальным и оценивается количеством стандартных отклонений от среднего [6–8].
Необходимо отметить тот факт, что широкий доступ к информации в сети Интернет, диктат массмедиа и социальных сетей привели к пересмотру классических канонов эстетики лица. Зачастую общепринятые «табличные» значения показателей эстетики не являются приемлемыми со стороны пациентов, и, наоборот, значения показателей, выходящие за границы норм, – ожидаемым результатом комплексного лечения зубочелюстно-лицевых аномалий [1; 7–9]. В связи с этим экспертиза показателей, характеризующих эстетичность лицевой композиции, является обоснованной.
Цель исследования – экспертная оценка эстетики профиля лица при трансформации угловых параметров за пределы нормальных значений.
Материалы и методы исследований
В качестве экспертов были приглашены 22 независимых врача-ортодонта (11 мужчин, средний возраст 36,8 ± 1,2 г.; 11 женщин, средний возраст 35,3 ± 2,2 г.). Работа с каждым из экспертов велась индивидуально, коллективные решения были исключены.
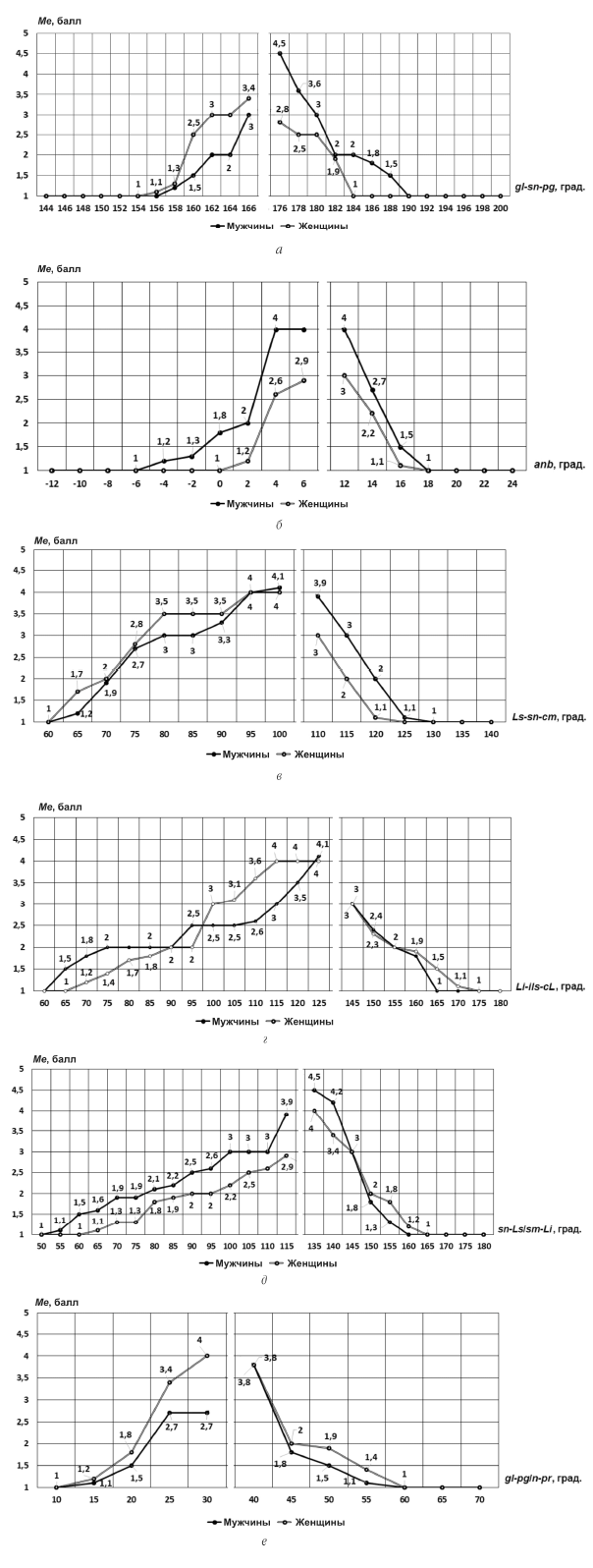
Балльная оценка эстетики профиля лица экспертами осуществлялась с применением метода векторов предпочтений с вариантами ответов от «1» – «крайне непривлекательный профиль» до «5» – «крайне привлекательный профиль», экспертам было разрешено использовать при оценке дробные числа (до одной цифры после запятой). Графическое сопровождение экспертизы представляло собой расположенные в случайном порядке схемы профиля лица с измененными изучаемыми параметрами. Один блок содержал схемы мужских профилей, другой – женских. Изменяемые углы, их нормальные значения представлены на рис. 1 и в табл. 1.
Рис. 1. Показатели профиля лица, изменяемые при экспертном анализе: 1 – угол профиля лица; 2 – угол выпуклости лица; 3 – носогубный угол; 4 – угол выступания губ; 5 – подбородочно-губной угол; 6 – носолицевой угол
Таблица 1. Нормальные значения угловых параметров профиля лица*
Показатель | Значение |
gl-sn-pg | 170 ± 5 ° |
Anb | 8 ± 1 ° |
Ls-sn-cm | 105 ± 5° |
Li-ils-cL | 135 ± 5 ° |
sn-Ls/sm-Li | 125 ± 10 ° |
gl-pg/n-pr | 35 ± 2 ° |
Примечание: * – указаны величины М ± σ, где М – среднее значение, σ – стандартное отклонение.
Интервалы изменений для каждого показателя рассчитаны с учетом одного стандартного отклонения, кроме параметров anb (4σ), Li-ils-cL (2σ) и gl-pg/n-pr (2σ). Таким образом, вариации параметров были следующие:
– угол профиля лица (gl-sn-pg) с шагом 2° в интервалах [144; 166] и [176; 200];
– угол выпуклости лица (anb) с шагом 2° в интервалах [-12; 6] и [12; 24];
– носогубный угол (Ls-sn-cm) с шагом 5° в интервалах [60; 100] и [110; 140];
– подбородочно-губной угол (Li-ils-cL) с шагом 5° в интервалах [60; 125] и [145; 180];
– угол выпуклости губ (sn-Ls/sm-Li) с шагом 5° в интервалах [50; 115] и [135; 180];
– носолицевой угол (gl-pg/n-pr) с шагом 5° при постоянной длине спинки носа в интервалах [10; 30] и [40; 70].
В каждой схеме профиля изменению подвергался только один угловой параметр, остальные имели «нулевые» значения, признанные группой экспертов как наиболее часто встречающиеся и эстетически приемлемые. Для мужского типа профиля «нулевые» значения составили: gl-sn-pg = 168°, anb = 10°, Ls-sn-cm = 105°, Li-ils-cL = 130°, gl-pg/n-pr = 35°, sn-Ls/sm-Li = 125°; для женского – gl-sn-pg =
168°, anb = 10°, Ls-sn-cm = 110°, Li-ils-cL = 135°, gl-pg/n-pr = 35°, sn-Ls/sm-Li = 135°
Вариация схемы профиля считалась эстетичной и социально привлекательной при медиане более 3,0 балла предлагаемой шкалы, менее 2,5 балла – как эстетически неудовлетворительной (непривлекательной).
Статистический анализ данных проводили с использованием программы Statistica 12.0. Данные экспертных оценок представлены в виде медианы, средней величины и ошибки средней (Ме; М ± m).
Результаты и их обсуждение
Два эксперта на этапе калибровки были исключены из процедуры оценивания, поскольку их оценка более чем в половине случаев отличалось от мнения большинства на 25 % и более. Уровень расхождений мнений оставшихся экспертов составил 8,5 %.
Изменение угловых параметров профиля лица за границы референтных интервалов ожидаемо негативно влияло на оценку привлекательности профиля. Графики распределения экспертных оценок имели нелинейный вид (рис. 2). Анализ кривых позволил с учетом полового диморфизма выявить значения угловых параметров, при которых профиль лица воспринимается как непривлекательный (значение медиан, равное 2,5 балла и менее):
– для угла профиля у мужчин значения меньше 164° и больше 182°; меньше 160° и больше 178° у женщин;
– для угла выпуклости лица у мужчин такими являлись показатели больше 16° и меньше 2°, для женщин – больше 14° и меньше 2°;
– для носогубного угла у мужчин определены параметры больше 120° и менее 70°, для женщин – больше 115° и меньше 70°;
– для подбородочно-губного угла значения у мужчин больше 150° и меньше 90°, для женщин – больше 150° и меньше 95°;
– угол выпуклости губ оценен экспертами как непривлекательный при значениях больше 150° и меньше 85° у мужчин, больше 150° и меньше 105° у женщин;
– для носолицевого угла у обоих полов непривлекательными считались значения больше 45° и меньше 20°.
Рис. 2. Распределение медиан экспертных оценок вариаций углов: а – профильного; б – выпуклости лица; в – носогубного; г – подбородочно-губного; д – выпуклости губ; е – носолицевого
Необходимо отметить тот факт, что изменение параметра в направлении уплощения архитектоники лица (увеличение профильного угла, носогубного и подбородочно-губного углов, угла выступания губ, либо уменьшение угла выпуклости лица и носолицевого угла) за более короткий интервал значений «переводит» эстетику профиля лица в «зону непривлекательности». Это объясняется тем, что уплощенные профили с нерезко выраженной архитектоникой труднее идентифицируются и воспринимаются как эстетически неполноценные [10].
Также обращает на себя внимание еще одна закономерность кривых распределения экспертных оценок – существуют два значения для каждого углового показателя (максимум и минимум), по достижению которых дальнейшее изменение параметра не сопровождается изменением экспертной оценки «крайне непривлекательный» профиль. Такие значения названы «критическими» и описываются следующим образом (табл. 2):
– нижняя граница – достижение этого значения показателя и дальнейшее его уменьшение характеризует профиль лица как «крайне непривлекательный» (медиана экспертной оценки менее 2,0 балла);
– верхняя граница – достижение этого значения и дальнейшее его увеличение характеризует профиль лица как «крайне непривлекательный» (медиана экспертной оценки менее 2,0 балла).
Таблица 2. «Критические» значения угловых показателей профиля лица (Me; M ± m, балл)
Показатель | Мужской тип профиля | Женский тип профиля | ||
минимальные значения | максимальные значения | минимальные значения | максимальные значения | |
gl-sn-pg | 160° (1,5; 1,57 ± 0,14) | 186° (1,8; 1,71 ± 0,14) | 158° (1,3; 1,67 ± 0,17) | 182° (1,9; 1,73 ± 0,14) |
Anb | 0° (1,8; 1,91 ± 0,19) | 16° (1,5; 1,55 ± 0,14) | 2° (1,2; 1,53 ± 0,15) | 16° (1,11; 1,48 ± 0,14) |
cm-sn-Ls | 70° (1,9; 1,95 ± 0,16) | 125° (1,1; 1,61 ± 0,16) | 65° (1,7; 1,57 ± 0,11) | 120° (1,1; 1,67 ± 0,17) |
Li-ils-cL | 65° (1,75; 1,64 ± 0,12) | 160° (1,8; 1,76 ± 0,17) | 85° (1,8; 1,66 ± 0,14) | 160° (1,9; 2,02 ± 0,18) |
sn-Ls/sm-Li | 75° (1,9; 2,09 ± 0,10) | 150° (1,8; 1,84 ± 0,14) | 85° (1,9; 1,78 ± 0,12) | 155° (1,8; 1,91 ± 0,12) |
gl-pg/n-pr | 20° (1,5; 2,04 ± 0,22) | 45° (1,8; 1,85 ± 0,17) | 20° (1,8; 2,10 ± 0,21) | 50° (1,9; 2,07 ± 0,21) |
Выводы
Таким образом, можно заключить следующее:
– трансформация угловых параметров профиля лица за границы референтных интервалов негативно сказывается на эстетике лица, а распределение оценок экспертов демонстрирует нелинейную зависимость;
– изменения, ведущие к уплощению архитектоники лица, в большей степени оказывают отрицательное влияние на эстетику;
– существуют «критические» значения показателя, по достижению которых дальнейшее изменение параметра не приводит к изменению экспертной оценки «крайне непривлекательный» профиль.
Финансирование. Исследование не имело спонсорской поддержки.
Конфликт интересов. Авторы заявляют об отсутствии конфликта интересов.
Вклад авторов равноценен.
About the authors
M. A. Danilova
E.A. Vagner Perm State Medical University
Email: ishmurzin_pav@mail.ru
MD, PhD, Professor, Head of the Department of Pediatric Dentistry and Orthodontics
Russian Federation, PermP. V. Ishmurzin
E.A. Vagner Perm State Medical University
Author for correspondence.
Email: ishmurzin_pav@mail.ru
MD, PhD, Associate Professor, Department of Pediatric Dentistry and Orthodontics
Russian Federation, PermA. M. Konkova
E.A. Vagner Perm State Medical University
Email: ishmurzin_pav@mail.ru
orthodontist
Russian Federation, PermReferences
- Fadeev R.A., Lanina A.N., Robakidze N.S., Li P.V. Aesthetics. Occlusion. Function. The ideas of the XXII orthodontic congress of Russia come to life. Ortodontiya 2022; 4 (100): 40–47 (in Russian).
- Danilova M.A., Ishmurzin P.V., Megrabyan O.A., Kon'kova A.M. Dentomaxillofacial growth patterns in persons with mandibular micrognathia and tetrognatism. Klinicheskaya stomatologiya 2022; 25 (1): 74–80 (in Russian).
- Pol'ma L.V., Markova M.V., Persin L.S. Determining the optimal time for patients with distal occlusion by use of cervical vertebral maturation method. Ortodontiya 2011; 4 (56): 22–30 (in Russian).
- Danilova M.A., Ishmurzin P.V., Zakharov S.V. Use of maxilla, mandible and temporomandibular joint geometrical models of maxillary complex description in norm and at distal occlusion. Ortodontiya 2012; 1 (57): 15–19 (in Russian).
- Ishmurzin P.V. Changes of the aesthetic parameters of the face in patients with transversal occlusion anomalies: avtoref. dis. … kand. med. nauk. Perm' 2005; 19 (in Russian).
- Merzhvinskaya E.I., Slabkovskaya A.B., Drobysheva N.S., Vasil'ev A.Yu., Persin L.S., Drobyshev A.Yu., Petrovskaya V.V., Kurakin K.A. Gender features of harmonious faces. Ortodontiya 2012; 2 (58): 10–18 (in Russian).
- Fadeev R.A., Ispravnikova A.N. The results of expert assessment of violations of aesthetics persons with various forms dentooralfacial disorders. Institut stomatologii 2009; 4 (45): 21–25 (in Russian).
- Kovalenko A.V., Slabkovskaya A.B., Drobysheva N.S., Persin L.S. Facial aesthetic index and its correlation with psychological status in patients with skeletal malocclusions. Ortodontiya 2010; 4 (52): 31–35 (in Russian).
- Kon'kova A.M., Danilova M.A., Ishmurzin P.V. The possibilities of lip contour correction in patients with distal occlusion. Dental forum 2018; 4: 29 (in Russian).
- Ishmurzin P.V., Kon'kova A.M. Nasolabial complex profile aesthetics evaluation in youthful patients. Problemy stomatologii 2018; 1 (14): 106–109 (in Russian).





