Comparative analysis of survival rates in patients with renal cell carcinoma and level i-ii tumor thrombus of the renal vein and inferior vena cava undergoing open versus laparoscopic surgical treatment
- Authors: Mirzabekov M.K.1, Bogomolov O.A.1, Shkolnik M.I.1, Trukhacheva N.V.2, Tikhonsky N.D.2
-
Affiliations:
- A.M. Granov Russian Research Center for Radiology and Surgical Technologies
- Altai State Medical University
- Issue: Vol 42, No 4 (2025)
- Pages: 105-114
- Section: Original studies
- Submitted: 21.06.2025
- Published: 11.09.2025
- URL: https://permmedjournal.ru/PMJ/article/view/685451
- DOI: https://doi.org/10.17816/pmj424105-114
- ID: 685451
Cite item
Full Text
Abstract
Objective. To compare recurrence-free survival and long-term oncological outcomes in patients with Renal Cell Carcinoma (RCC) and level I–II tumor thrombus of the renal vein and inferior vena cava undergoing laparoscopic versus open nephrectomy with thrombectomy.
Materials and Methods. 100 patients with histologically confirmed RCC and level I–II tumor thrombus of the renal vein and inferior vena cava (according to Mayo classification) treated at the A.M. Granov Russian Research Center for Radiology and Surgical Technologies from 2007 to 2024 were included into this retrospective study. Fifty patients underwent open surgery and in fifty patients laparoscopic procedures were performed, with stratification based on clinical and morphological parameters. Progression-free survival served as the primary endpoint. Kaplan – Meier analysis and Cox proportional hazards regression were used to assess prognostic factors.
Results. Mean progression-free survival was 58.9±4 months in the open surgery group versus 59.1 ± 4 months in the laparoscopic group; the differences were not statistically significant (c2=0.2916; p=0.5892; HR=0.84; 95% CI: 0.43–1.61). Lymph node metastasis (N1) was associated with significantly worse survival (HR=24.80; p<0.0001). Advanced thrombus (level II) was an independent negative prognostic factor (HR=7.79; p<0.0001).
Conclusions. Laparoscopic nephrectomy with thrombectomy for RCC patients with level 0-II venous tumor thrombus demonstrated oncological outcomes comparabl to open surgery and may be considered an acceptable alternative when adhering to oncological principles. Lymph node involvement and thrombus extent remain key prognostic factors affecting recurrence-free survival.
Full Text
Введение
Почечно-клеточный рак (ПКР) продолжает занимать одно из ведущих мест в структуре онкоурологической заболеваемости и смертности, демонстрируя устойчивую тенденцию к росту числа случаев как в России, так и за рубежом [1; 2]. По данным эпидемиологических исследований последних лет, данная нозология характеризуется высокой вариабельностью клинического течения, значительным числом дебютов в локально-распространенной стадии и часто диагностируемыми случаями опухолевой венозной инвазии [3, 4]. Как подчеркивает U. Capitanio et al., ПКР обладает выраженной способностью к ангиотропному распространению, формируя опухолевые тромбы в почечной и нижней полой вене у значительной доли пациентов [5].
Особую клинико-хирургическую сложность представляет собой ведение больных с ПКР, осложненным венозным тромбозом. Выполнение радикальной нефрэктомии с тромбэктомией в таких случаях сопряжено с высоким риском интраоперационных осложнений, необходимостью мультидисциплинарного подхода и значительными требованиями к техническому оснащению [7; 8]. При этом, как показывают работы В.А. Атдуева и М.И. Давыдова, непосредственные и отдаленные результаты хирургического лечения зависят не только от уровня тромбоза, но и от объема вмешательства и выбранного хирургического доступа [9; 10].
На фоне растущего интереса к малоинвазивным технологиям в онкоурологии, лапароскопическая нефрэктомия всё чаще рассматривается как потенциально равнозначная по онкологической эффективности альтернатива открытым вмешательствам. Однако данные о применимости лапароскопического подхода у пациентов с ПКР и тромбозом остаются ограниченными и противоречивыми [11–13]. Проведенный S. Bahadoram et al. обзор подчеркивает важность индивидуализации хирургической тактики с учетом прогностических факторов и технических ограничений [1]. Современные исследования также акцентируют внимание на значимости коморбидных состояний, таких как ожирение, артериальная гипертензия и снижение функционального резерва, в определении хирургических рисков и выживаемости [14–16].
Анализ факторов, влияющих на выживаемость после хирургического лечения ПКР, демонстрирует значимую роль морфологических и клинико-анамнестических характеристик, включая индекс массы тела (ИМТ), степень тромбоза и поражение лимфатических узлов [17; 18]. Cвоевременное и точное стадирование опухолевого процесса оказывает прямое влияние на выбор тактики лечения и прогноз пациента [19; 20].
Проведение исследования, направленного на сравнительный анализ эффективности лапароскопического и лапаротомного подходов при выполнении нефрэктомии с тромбэктомией у больных ПКР с опухолевым тромбозом I–II уровней, позволяет определить целесообразность использования малоинвазивных технологий в сложных клинических ситуациях и уточнить прогностическую роль ряда факторов, потенциально влияющих на выживаемость пациентов в реальной клинической практике.
Цель исследования – сравнительная оценка безрецидивной выживаемости и отдаленных онкологических результатов у пациентов с почечно-клеточным раком, осложненным венозным тромбозом 0–II уровней, после выполнения радикальной нефрэктомии с тромбэктомией лапароскопическим и открытым доступами.
Материалы и методы исследования
Исследование носило ретроспективный характер и было направлено на сравнительный анализ показателей безрецидивной выживаемости у пациентов, перенесших хирургическое лечение по поводу злокачественного новообразования с использованием лапаротомного и лапароскопического доступов.
В период с 2007 по 2024 г. на базе Федерального государственного бюджетного учреждения «Российский научный центр радиологии и хирургических технологий имени академика А.М. Гранова» проведено ретроспективное регистровое исследование, направленное на оценку отдаленных онкологических исходов у пациентов, перенесших радикальную нефрэктомию с тромбэктомией по поводу ПКР, осложненного опухолевым венозным тромбозом 0–II уровней по классификации Mayo.
В исследование были включены 100 пациентов, критерием включения являлось наличие морфологически подтвержденного ПКР с опухолевым тромбозом почечной и/или нижней полой вены I–II уровней, а также выполнение радикальной нефрэктомии с тромбэктомией в условиях специализированного онкологического стационара. Критериями исключения служили наличие опухолевого тромбоза III–IV уровней, интраоперационные осложнения, потребовавшие конверсии, а также отсутствие гистологической верификации.
Стратификация выборки проводилась на основании клинико-анамнестических, морфологических и технических параметров, включая уровень опухолевого тромбоза, наличие регионарных метастазов, тип хирургического доступа, ИМТ (индекс массы тела) и сопутствующие заболевания. Это обеспечило возможность формирования однородных групп для проведения валидного сравнительного анализа и расчета прогностических моделей выживаемости. Представленная когорта пациентов с верифицированным ПКР и опухолевым венозным тромбозом являлась репрезентативной и клинически значимой с точки зрения оценки эффективности и безопасности лапароскопического вмешательства по сравнению с традиционной лапаротомией.
Статистическая обработка полученных данных проводилась с использованием пакета программ MedCalc. Для оценки прогностических факторов, влияющих на время до прогрессирования заболевания, была использована модель пропорциональных рисков Кокса (Cox proportional-hazards regression), позволяющая определить взаимосвязь между временем выживания без прогрессирования и набором клинико-лабораторных и морфологических предикторов. В качестве зависимой переменной в модели выступало время до прогрессирования, определяемое как интервал от момента хирургического вмешательства до даты выявления признаков прогрессирования заболевания или даты последнего контакта (при отсутствии события). Пациенты, у которых не было зафиксировано прогрессирование заболевания к моменту завершения наблюдения, рассматривались как цензурированные случаи. Категориальные и непрерывные переменные включались в модель по методу «ввод» (Enter), без пошагового исключения, с предварительной проверкой на соответствие предпосылке пропорциональности рисков. Для оценки значимости влияния отдельных факторов рассчитывались значения коэффициентов регрессии (b), стандартные ошибки (SE), значения критерия Вальда (Wald), уровни значимости (p), а также экспоненты коэффициентов (Exp (b)), интерпретируемые как отношение рисков (Hazard Ratio – HR) с 95%-ным доверительным интервалом (95 % CI). Достоверность модели оценивалась по изменению -2 логарифмической функции правдоподобия (–2 Log Likelihood) между нулевой и полной моделями, критерию хи-квадрат и соответствующему уровню значимости (p < 0,05). Выживаемость без прогрессирования визуализировалась с использованием функции кумулятивной опасности и функции выживания в зависимости от времени наблюдения, различия считались статистически значимыми при p < 0,05.
Результаты и их обсуждение
Анализ сопутствующей патологии показал наличие артериальной гипертензии у 58 пациентов (58 %), что может отражать как выраженность коморбидного фона, так и патогенетическую связь с нефрогенными нарушениями. Индекс массы тела распределился следующим образом: нормальный ИМТ (18,5–24,9 кг/м2) – у 12 пациентов, избыточная масса тела (25,0–29,9 кг/м2) – у 54, ожирение (≥ 30 кг/м2) – у 34. Среднее значение ИМТ составило 28,1 ± 2,6 кг/м2, что указывает на высокую распространенность избыточной массы тела и ожирения в данной популяции. Клинические проявления ПКР с тромбозом отмечались у 35 % пациентов. Наиболее часто встречающимися симптомами были боли в поясничной области (11 %), макрогематурия (10 %), длительная лихорадка неясного генеза (7 %) и быстрое снижение массы тела (≥ 10 кг за 6 месяцев) – также у 7 % пациентов.
По уровню опухолевого тромбоза пациенты были распределены следующим образом: у 54 (54 %) – тромбоз почечной вены (уровень 0), у 30 (30 %) – тромбоз I уровня, у 16 (16 %) – тромбоз II уровня. Метастатическое поражение регионарных лимфатических узлов (стадия N1) диагностировано у 18 (18 %) пациентов, в то время как у 82 (82 %) человек лимфогенное метастазирование не выявлено (стадия N0).
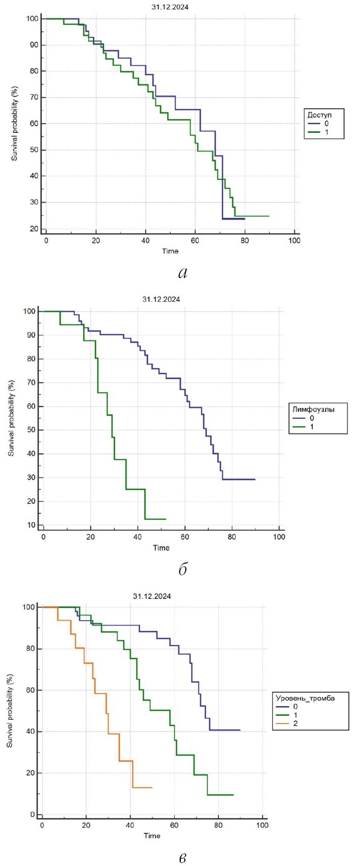
Согласно результатам анализа выживаемости методом Каплана – Мейера, различия между лапаротомией и лапароскопией не достигли статистической значимости (логранг-тест: c2 = 0,2916; p = 0,5892). Среднее время до прогрессирования составило 59,1 ± 4 месяца в группе пациентов, прооперированных с использованием лапаротомии, и 58,9 ± 4 месяца в группе с лапароскопией. Медиана времени без прогрессирования составила 68,0 (95 % ДИ: 52,0–71,0) и 61,0 (95 % ДИ: 46,0–74,0) месяц соответственно. Отношение рисков (HR) для лапароскопического доступа, по сравнению с лапаротомным, составило 0,84 (95 % ДИ: 0,43–1,61), что свидетельствует об эквивалентной онкологической эффективности лапароскопического вмешательства.
На рис. 1 представлена обобщенная функция выживаемости, рассчитанная по модели Кокса на основе всех включенных переменных, показано постепенное снижение вероятности безрецидивного течения заболевания в течение периода наблюдения с последующим выходом кривой на плато к 80 месяцам.
Рис. 1. Кумулятивная функция выживаемости по модели Кокса при средних значениях ковариат у пациентов с ПКР
Как видно на рис. 2, а, кривые безрецидивной выживаемости в группах лапаротомии и лапароскопии демонстрируют сопоставимые показатели, различия между группами не достигают статистической значимости (p = 0,5892).
Влияние других клинико-морфологических факторов выявило следующие закономерности, поражение регионарных лимфатических узлов оказывало выраженное
Рис. 2. Кривые безрецидивной выживаемости у пациентов с ПКР: а – в зависимости от типа хирургического доступа (лапаротомия vs лапароскопия); б – в зависимости от поражения регионарных лимфатических узлов (N0 vs N1); в – в зависимости от степени опухолевого тромбоза (уровни 0, I, II по Mayo)
негативное влияние на выживаемость: медиана времени до прогрессирования в подгруппе с метастатическим поражением составляла 29 (95 % ДИ: 23,0–43,0) месяцев против 69 (95 % ДИ: 61,0–75,0) месяцев в группе без поражения. Анализ продемонстрировал статистически значимое различие (c2 = 23,55; p < 0,0001) и отношение рисков HR = 24,80 (95 % ДИ: 6,78–90,70), что подтверждает неблагоприятный прогноз при наличии лимфогенной диссеминации. На рис. 2, б, показано, что наличие метастатического поражения лимфатических узлов (N1) ассоциировано со значительным снижением безрецидивной выживаемости по сравнению с пациентами, у которых лимфоузлы не были вовлечены (N0). Статистическая значимость различий подтверждена (p < 0,0001).
Анализ зависимости выживаемости от степени тромбоза показал, что у пациентов с выраженным тромбозом (уровень II) медиана времени без прогрессирования составляла лишь 29 (95 % ДИ: 19,0–41,0) месяцев, в то время как у респондентов с I уровнем – 58 (95 % ДИ: 43,0–69,0) месяцев, 0-м уровнем тромба – 74 (95 % ДИ: 68,0–76,0) месяца, отношение рисков для II степени тромбоза, по сравнению с 0-м уровнем, составило HR = 7,79 (95 % ДИ: 2,07–29,36), p < 0,0001, протяженный тромбоз ассоциируется с более агрессивным течением опухолевого процесса. Среднее время до прогрессирования при уровне тромбоза 0 – 71,93 ± 3,58 мес., при уровне 1 – 53,60 ± 4,18 мес., при уровне 2 – 29,24 ± 3,45 мес. Различия между группами были статистически значимы (c2 = 36,19; df = 2; p < 0,0001) (рис. 2, в).
Многофакторный анализ Кокса подтвердил достоверное влияние ряда предикторов на риск прогрессирования заболевания. В модель были включены клинико-морфологические переменные: уровень тромбоза, морфологический тип опухоли, размер опухоли, степень злокачественности по ISUP Grade, наличие лимфоузлов и другие. Достоверное негативное влияние на безрецидивную выживаемость оказали: уровень тромбоза I (HR = 2,86; 95 % ДИ: 1,15–7,10; p = 0,0236), уровень тромбоза II (HR = 3,82; 95 % ДИ: 1,06–13,80; p = 0,0406), размер опухоли (HR = 1,59; 95 % ДИ: 1,17–2,17; p = 0,0031), grade ISUP (HR = 1,43; 95 % ДИ: 1,00–2,04; p = 0,0472), морфология опухоли – светлоклеточный рак (HR = 3,94; 95 % ДИ: 1,25–12,47; p = 0,0195).
Несмотря на высокое отношение рисков в однофакторном анализе для поражения лимфатических узлов (HR = 24,80), в многофакторной модели этот параметр не достиг статистической значимости (p = 0,355), что может быть обусловлено небольшим числом пациентов с положительными лимфоузлами (n = 18) и снижением мощности выборки.
Дальнейший анализ полученных результатов исследования направлен на соотнесение данных с описанными в научной литературе ретроспективными исследованиями и обсуждение их клинического и прогностического значения.
Полученные результаты подтверждают онкологическую эквивалентность лапароскопического и лапаротомного подходов при выполнении нефрэктомии с тромбэктомией у пациентов с ПКР, осложненным венозным тромбозом 0–II уровней. Отсутствие статистически значимых различий в выживаемости между группами (p = 0,5892) согласуется с данными, представленными в работах В.А. Атдуева и соавт., которые также отмечали отсутствие ухудшения прогноза при использовании минимально инвазивных технологий у тщательно отобранных больных [9].
В исследованиях S. Bahadoram et al. (2022); U. Capitanio, P. Montorsi (2019) подчеркивается тенденция к расширению показаний к лапароскопии в онкоурологии, что обусловлено не только снижением интраоперационной травмы и частоты осложнений, но и сопоставимыми онкологическими исходами при соблюдении онкологических принципов вмешательства [1; 5]. Наше исследование также подтвердило высокую прогностическую значимость метастатического поражения регионарных лимфатических узлов, показатель HR = 24,80 (p < 0,0001) соответствует данным, полученным М.И. Давыдовым и соавт. (2014), L. Bukavina et al. (2022), согласно которым наличие N1-статуса ассоциируется с неблагоприятным прогнозом и требует более агрессивного послеоперационного ведения [10; 15]. Установлено, что тромбоз II уровня по классификации Mayo достоверно снижает безрецидивную выживаемость (HR = 7,79; p < 0,0001). Cтепень инвазии в магистральные сосуды является независимым негативным фактором прогноза, особенно при распространенности тромба выше впадения почечной вены [19]. Представленные результаты подтверждают актуальные положения клинических рекомендаций и систематических обзоров о допустимости лапароскопического доступа при ПКР с тромбозом 0–II уровней у тщательно отобранных пациентов.
Выводы
Полученные данные указывают, что лапароскопический доступ является сопоставимым по эффективности с лапаротомным в аспекте онкологического контроля и может рассматриваться в качестве альтернативного метода хирургического вмешательства при соблюдении онкологических принципов. Ключевыми прогностическими факторами, определяющими безрецидивную выживаемость, остаются морфологические характеристики опухоли, наличие тромбоза и метастатическое поражение лимфоузлов. Тем не менее необходимо учитывать ограничения данного исследования, включая ретроспективный характер, ограниченное количество случаев с тромбозом уровня II и возможное влияние коморбидного фона, в частности, ожирения и артериальной гипертензии, на прогноз. В дальнейшем требуется проведение многоцентровых проспективных исследований с более широкими когортами и стратификацией по морфологическим подтипам ПКР.
About the authors
M. K. Mirzabekov
A.M. Granov Russian Research Center for Radiology and Surgical Technologies
Author for correspondence.
Email: Musabek.mirzabekoff@yandex.ru
ORCID iD: 0009-0003-8365-7672
SPIN-code: 5892-4003
Postgraduate Student of the Department of Radiology, Surgery and Oncology
Russian Federation, Saint PetersburgO. A. Bogomolov
A.M. Granov Russian Research Center for Radiology and Surgical Technologies
Email: Musabek.mirzabekoff@yandex.ru
ORCID iD: 0000-0002-5860-9076
SPIN-code: 6554-4775
PhD (Medicine), Associate Professor of the Department of Radiology, Surgery and Oncology, Chief Researcher
Russian Federation, Saint PetersburgM. I. Shkolnik
A.M. Granov Russian Research Center for Radiology and Surgical Technologies
Email: Musabek.mirzabekoff@yandex.ru
ORCID iD: 0000-0003-0589-7999
SPIN-code: 4743-9236
DSc (Medicine), Associate Professor, Professor of the Department of Radiology, Surgery and Oncology, Chief Researcher
Russian Federation, Saint PetersburgN. V. Trukhacheva
Altai State Medical University
Email: Musabek.mirzabekoff@yandex.ru
ORCID iD: 0000-0002-7894-4779
SPIN-code: 3515-5231
PhD (Pedagogy), Associate Professor of the Department of Physics and IT
Russian Federation, BarnaulN. D. Tikhonsky
Altai State Medical University
Email: Musabek.mirzabekoff@yandex.ru
ORCID iD: 0000-0001-7525-277X
SPIN-code: 4983-2377
Lecturer of the Department of Physics and IT
Russian Federation, BarnaulReferences
- Трушкин Р.Н., Исаев Т.К., Соколов А.А. Особенности этиологии, патогенеза и эпидемиологии почечно-клеточного рака трансплантированной почки. Вестник трансплан¬тологии и искусственных органов 2024; 26 (4): 61–68. / Trushkin R.N., Isaev T.K., Sokolov A.A. Features of the etiology, pathogenesis and epidemiology of renal cell carcinoma in kidney transplant recipients. Russian Journal of Transplantology and Artificial Organs 2024; 26 (4): 61–68. doi: 10.15825/1995-1191-2024-4-61-68 (in Russian).
- Bray F., Laversanne M., Sung H., Ferlay J., Siegel R.L., Soerjomataram I., Jemal A. Global cancer statistics 2022: GLOBOCAN estimates of incidence and mortality worldwide for 36 cancers in 185 countries. CA Cancer J Clin. 2024; 74 (3): 229–263. doi: 10.3322/caac.21834
- Заридзе Д.Г., Мукерия А.Ф., Шаньгина О.В. Факторы риска почечно-клеточного рака. Сибирский онкологический журнал 2018; 17 (5): 77–86. doi: 10.21294/1814-4861-2018-17-5-77-86 / Zaridze D.G., Mukeriya A.F., Shangina O.V. Risk factors of renal cell carcinoma. Siberian Journal of Oncology 2018; 17 (5): 77–86. doi: 10.21294/1814-4861-2018-17-5-77-86 (in Russian).
- Choueiri T.K., Halabi J.B., Atkins R.M. et al. Adjuvant pembrolizumab after nephrectomy in renal-cell carcinoma. N Engl J Med. 2021; 385 (8): 683–694. doi: 10.1056/NEJMoa2106391
- Capitanio U., Montorsi P. Epidemiology of renal cell carcinoma. Eur Urol. 2019; 75 (1): 74–84. doi: 10.1016/j.eururo.2018.08.036
- Ljungberg B., Albiges L., Abu-Ghanem Y. et al. EAU guidelines on renal cell carcinoma: 2022 update. Eur Urol. 2022; 82 (4): 399–410. doi: 10.1016/j.eururo.2022.07.001
- Saad A.M., Gad M.M., Al-Husseini M.J. et al. Trends in renal cancer incidence and mortality in the United States: a SEER-based analysis, 1975–2015. Clin Genitourin Cancer 2019; 17 (1): e36–e48. doi: 10.1016/j.clgc.2018.09.013
- Linehan W.M., Ricketts C.J. The metabolic basis of kidney cancer: genetics, pathogenesis and targets. Nat Rev Urol. 2020; 17: 255–272. doi: 10.1038/s41585-020-0282-2
- Атдуев В.А., Амоев З.В., Данилов А.А. и др. Хирургическое лечение рака почки с протяженными тромбами нижней полой вены: осложнения и отдаленные результаты. Онкоурология 2017; 1: 37–44. doi: 10.17650/1726-9776-2017-13-1-37-44 / Atduev V.A., Amoev Z.V., Danilov A.A. et al. Surgical treatment of renal cancer with extended thrombi of the inferior vena cava: complications and long-term results. Onkourologiya 2017; 1: 37–44. doi: 10.17650/1726-9776-2017-13-1-37-44 (in Russian).
- Давыдов М.И., Матвеев В.Б., Волкова М.И. и др. Факторы прогноза непосредственных результатов тромбэктомии у больных раком почки с опухолевым венозным тромбозом. Онкоурология 2014; 3: 31–39. doi: 10.17650/1726-9776-2014-10-3-31-39 / Davy¬dov M.I., Matveev V.B., Volkova M.I. et al. Prognostic factors of early results of thrombectomy in patients with renal cancer and venous tumor thrombosis. Onkourologiya 2014; 3: 31–39. doi: 10.17650/1726-9776-2014-10-3-31-39 (in Russian).
- Chatzkel J., Sharma A., Moreira K.S., et al. Approaches to treating high risk and advanced renal cell carcinoma (RCC): key trial data that impacts treatment decisions in the clinic. Res Rep Urol. 2024; 161–176. doi: 10.2147/RRU.S410890
- Powles T., Plimack E.R., Soulieres D., et al. Atezolizumab plus bevacizumab versus sunitinib in untreated metastatic renal cell carcinoma: IMmotion151 study. Lancet Oncol. 2020; 21 (10): 1386–1399. doi: 10.1016/S1470-2045(20)30437-3
- Гаас М.Я., Каприн А.Д., Костин А.А., и др. Хирургическое лечение пациентов с местным рецидивом рака почки. Прогностические факторы выживаемости. Онкология. Журнал им. П.А. Герцена 2025; 14 (3): 20–24. doi: 10.17116/onkolog20251403120 / Gaas M.Ya., Kaprin A.D., Kostin A.A., et al. Surgical management of patients with local recurrence of renal cancer. Prognostic factors of survival. P.A. Herzen Journal of Oncology 2025; 14 (3): 20–24. doi: 10.17116/onkolog20251403120 (in Russian).
- Bartell S.M., Vieira V.M. Critical review on PFOA, kidney cancer, and testicular cancer. J Air Waste Manag Assoc. 2021; 71 (6): 663–679. doi: 10.1080/10962247.2021.1887272
- Bukavina L., Chapman J.L., George B.J. et al. Epidemiology of renal cell carcinoma: 2022 update. Eur Urol. 2022; 82 (5): 529–542. doi: 10.1016/j.eururo.2022.06.006
- Motzer R.J., Rini B.I., McDermott D.F. et al. Nivolumab plus ipilimumab versus sunitinib in advanced renal-cell carcinoma. N Engl J Med. 2018; 378: 1277–1290. doi: 10.1056/NEJMoa1712126
- Bex A., Albiges L., Ljungberg B. et al. Updated European Association of Urology guidelines on renal cell carcinoma: immune-based therapies for metastatic RCC. Eur Urol. 2023; 83 (3): 242–254. doi: 10.1016/j.eururo.2022.11.022
- Chandrasekar T., Klaassen B., Wallis M. et al. Collaborative review: factors influencing treatment decisions for patients with a localized solid renal mass. Eur Urol. 2021; 80 (5): 575–588. doi: 10.1016/j.eururo.2021.08.001
- Di Franco G., Palmeri M., Sbrana A., Gianardi D., Furbetta N., Guadagni S., Bianchini M., Stefanini G., Adamo G., Pollina L.E. et al. Renal cell carcinoma: the role of radical surgery on different patterns of local or distant recurrence. Surg Oncol. 2020; 35: 106–113. doi: 10.1016/j.suronc.2020.08.002
- Psutka S.P., Heidenreich M., Boorjian S.A., Bailey G.C., Cheville J.C., Stewart-Merrill S.B., Thompson R.H. Renal fossa recurrence after nephrectomy for renal cell carcinoma: prognostic features and oncological outcomes. BJU Int. 2017; 119 (1): 116–127. doi: 10.1111/bju.13620
Supplementary files



